HTLV1 Target gene Detail Information

> POLR2L Gene Search Result


Gene Information
Gene Name POLR2L
Gene ID 5441
Gene Full Name RNA polymerase II subunit L
Gene Alias RBP10; RPB10; RPABC5; RPB7.6; hRPB7.6; RPB10beta
Transcripts ENSG00000177700
Virus HTLV1
Gene Type protein coding
HPA Location Info Nucleoplasm;
HPA Protein Class Info Plasma proteins, Predicted intracellular proteins, RNA polymerase related proteins
Uniport_ID P62875
HGNC ID HGNC:9199
VEGA ID OTTHUMG00000133316
OMIM ID 601189
String ID 9606.ENSP00000324124
PharmGKB ID PA33519
Target gene [POLR2L] related to VISs
DVID Chromosome HM TFBS CA Sum of Overlapped Records Detail
6003324 chr11 141 26 167 View

Relationship between gene expression and immune infiltrating cell level
Data ID Disease Sample number Sample type
GSE55851 (GEO) Adult T-cell leukemia 21 Normal (3), Asymptomatic carriers (HTLV1+)(6), Adult T-cell Leukemia-lymphoma (HTLV1+)(12)
GSE29312 (GEO) HTLV-1 associated myelopathy 39 Normal (9), Asymptomatic carriers (HTLV1+)(20), HTLV-1-associated myelopathy (HTLV1+)(10)
GSE29332 (GEO) HTLV-1 associated myelopathy 35 Normal (8), Asymptomatic carriers (HTLV1+)(17), HTLV-1-associated myelopathy (HTLV1+)(10)

> Dataset: GSE55851

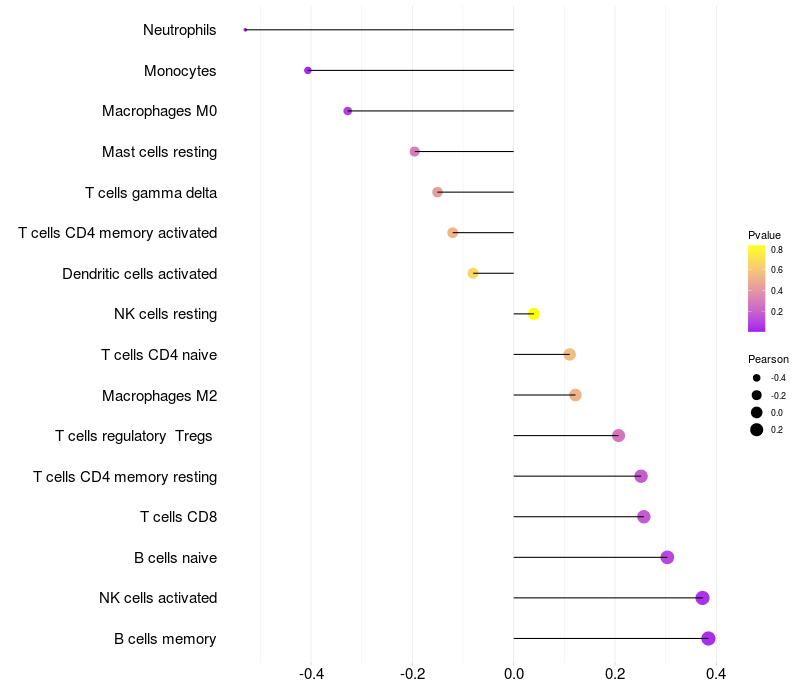
HeatMap of cell type fractions in all samples Lollipop of POLR2L expression and immune infiltrating cell level correlation result in HTLV1+ samples
POLR2L expression: Low -> High

> Dataset: GSE29312

HeatMap of cell type fractions in all samples Lollipop of POLR2L expression and immune infiltrating cell level correlation result in HTLV1+ samples
POLR2L expression: Low -> High

> Dataset: GSE29332

HeatMap of cell type fractions in all samples Lollipop of POLR2L expression and immune infiltrating cell level correlation result in HTLV1+ samples
POLR2L expression: Low -> High

Contents
Description

Gene Information Note

  • Integration Table: if previous studies reported that target gene was altered by virus integration events, the overlap between VISs in this literature and Cistrome factors was listed in the "Target gene [gene] related to VIS" section

Immune Analysis Plot Note

  • Left: Heatmap of target gene expression and the level of various types of immune cells (cell type fractions) in all samples based on CIBERSORT method.
  • Right: Correlation of target gene expression and the level of various types of immune cells in virus positive samples (Pearson Correlation Coefficient).