HIV Target gene Detail Information

> POT1 Gene Search Result


Gene Information
Gene Name POT1
Gene ID 25913
Gene Full Name protection of telomeres 1
Gene Alias GLM9; CMM10; HPOT1
Transcripts ENSG00000128513
Virus HIV
Gene Type protein coding
HPA Location Info Nucleoplasm;
HPA Protein Class Info Cancer-related genes, Disease related genes, Predicted intracellular proteins
Uniport_ID Q9NUX5
HGNC ID HGNC:17284
VEGA ID OTTHUMG00000157194
OMIM ID 606478
String ID 9606.ENSP00000350249
PharmGKB ID PA134934904
Target gene [POT1] related to VISs
DVID Chromosome HM TFBS CA Sum of Overlapped Records Detail
4300027 chr7 6 6 View

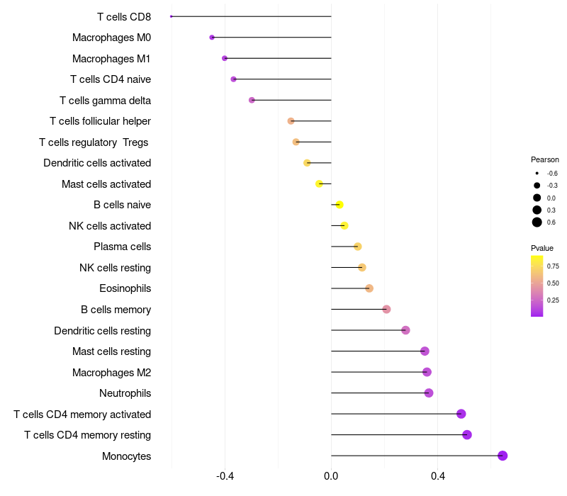
Relationship between gene expression and immune infiltrating cell level
Data ID Disease Sample number Sample type
GSE17372 (GEO) AIDS-associated lymphoma 17 AIDS-Related Lymphomas (HIV+)(17)
GSE50834 (GEO) HIV-infected disease 44 HIV infected (23), HIV/TB co-infected (21)

> Dataset: GSE17372

HeatMap of cell type fractions in all samples Lollipop of POT1 expression and immune infiltrating cell level correlation result in HIV+ samples
POT1 expression: Low -> High

> Dataset: GSE50834

HeatMap of cell type fractions in all samples Lollipop of POT1 expression and immune infiltrating cell level correlation result in HIV+ samples
POT1 expression: Low -> High

Contents
Description

Gene Information Note

  • Integration Table: if previous studies reported that target gene was altered by virus integration events, the overlap between VISs in this literature and Cistrome factors was listed in the "Target gene [gene] related to VIS" section

Immune Analysis Plot Note

  • Left: Heatmap of target gene expression and the level of various types of immune cells (cell type fractions) in all samples based on CIBERSORT method.
  • Right: Correlation of target gene expression and the level of various types of immune cells in virus positive samples (Pearson Correlation Coefficient).