HPV Target gene Detail Information

> PPP1R3A Gene Search Result


Gene Information
Gene Name PPP1R3A
Gene ID 5506
Gene Full Name protein phosphatase 1 regulatory subunit 3A
Gene Alias GM; PP1G; PPP1R3
Transcripts ENSG00000154415
Virus HPV
Gene Type protein coding
HPA Location Info
Membrane Info Predicted membrane proteins
HPA Protein Class Info Disease related genes, Plasma proteins, Predicted intracellular proteins, Predicted membrane proteins
Uniport_ID Q16821
HGNC ID HGNC:9291
VEGA ID OTTHUMG00000156944
OMIM ID 600917
String ID 9606.ENSP00000284601
PharmGKB ID PA33651
Target gene [PPP1R3A] related to VISs
DVID Chromosome HM TFBS CA Sum of Overlapped Records Detail
5200435 chr7 1 1 2 View
5404755 chr7 0 View

Relationship between gene expression and immune infiltrating cell level
Data ID Disease Sample number Sample type
GSE140662 (GEO) Condyloma Acuminatum 8 Condyloma acuminata (HPV+)(5), Skin(3)
GSE65858 (GEO) Head and neck squamous cell carcinoma 270 Head and neck squamous cell carcinoma (EBV+)(73), Head and neck squamous cell carcinoma (EBV-)(197)
GSE55546 (GEO) Oropharyngeal squamous cell carcinoma 16 Oropharyngeal cancers (HPV+)(12), Normal (4)
GSE55544 (GEO) Oropharyngeal squamous cell carcinoma 23 Oropharyngeal cancers HPV Active (11), Oropharyngeal cancers HPV Inactive (4), Oropharyngeal cancers HPV Negative (8)
GSE55542 (GEO) Oropharyngeal squamous cell carcinoma 36 Oropharyngeal cancers HPV Active (12), Oropharyngeal cancers HPV Inactive (8), Oropharyngeal cancers HPV Negative (16)
GSE51993 (GEO) Cervical intraepithelial neoplasia 24 Cervical intraepithelial neoplasia (HPV+)(17), Normal(7)
HNSC (TCGA) Head and Neck squamous cell carcinoma 566 Head and Neck squamous cell carcinoma(HPV-)(483),Head and Neck squamous cell carcinoma(HPV+)(39),Paracancerous(HPV-)(44)

> Dataset: GSE140662

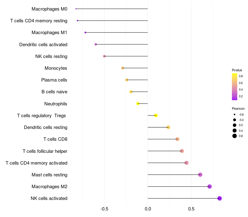
HeatMap of cell type fractions in all samples Lollipop of PPP1R3A expression and immune infiltrating cell level correlation result in HPV+ samples
PPP1R3A expression: Low -> High

> Dataset: GSE65858

HeatMap of cell type fractions in all samples Lollipop of PPP1R3A expression and immune infiltrating cell level correlation result in HPV+ samples
PPP1R3A expression: Low -> High

> Dataset: GSE55546

HeatMap of cell type fractions in all samples Lollipop of PPP1R3A expression and immune infiltrating cell level correlation result in HPV+ samples
PPP1R3A expression: Low -> High

> Dataset: GSE55544

HeatMap of cell type fractions in all samples Lollipop of PPP1R3A expression and immune infiltrating cell level correlation result in HPV+ samples
PPP1R3A expression: Low -> High

> Dataset: GSE55542

HeatMap of cell type fractions in all samples Lollipop of PPP1R3A expression and immune infiltrating cell level correlation result in HPV+ samples
PPP1R3A expression: Low -> High

> Dataset: GSE51993

HeatMap of cell type fractions in all samples Lollipop of PPP1R3A expression and immune infiltrating cell level correlation result in HPV+ samples
PPP1R3A expression: Low -> High

> Dataset: HNSC

HeatMap of cell type fractions in all samples Lollipop of PPP1R3A expression and immune infiltrating cell level correlation result in HPV+ samples
PPP1R3A expression: Low -> High

Contents
Description

Gene Information Note

  • Integration Table: if previous studies reported that target gene was altered by virus integration events, the overlap between VISs in this literature and Cistrome factors was listed in the "Target gene [gene] related to VIS" section

Immune Analysis Plot Note

  • Left: Heatmap of target gene expression and the level of various types of immune cells (cell type fractions) in all samples based on CIBERSORT method.
  • Right: Correlation of target gene expression and the level of various types of immune cells in virus positive samples (Pearson Correlation Coefficient).