HIV Target gene Detail Information

> RASA2 Gene Search Result


Gene Information
Gene Name RASA2
Gene ID 5922
Gene Full Name RAS p21 protein activator 2
Gene Alias GAP1M
Transcripts ENSG00000155903
Virus HIV
Gene Type protein coding
HPA Location Info Vesicles;
HPA Protein Class Info Predicted intracellular proteins, RAS pathway related proteins
Uniport_ID Q15283
HGNC ID HGNC:9872
VEGA ID OTTHUMG00000160221
OMIM ID 601589
String ID 9606.ENSP00000286364
PharmGKB ID PA34233
Target gene [RASA2] related to VISs
DVID Chromosome HM TFBS CA Sum of Overlapped Records Detail
4001322 chr3 136 43 179 View
4001608 chr3 52 17 78 147 View
4004663 chr3 28 9 4 41 View
4005793 chr3 26 3 29 View
4008303 chr3 7 7 1 15 View
4009038 chr3 8 5 13 View
4010220 chr3 8 1 9 View
4010503 chr3 5 3 1 9 View
4016330 chr3 0 View

Relationship between gene expression and immune infiltrating cell level
Data ID Disease Sample number Sample type
GSE17372 (GEO) AIDS-associated lymphoma 17 AIDS-Related Lymphomas (HIV+)(17)
GSE50834 (GEO) HIV-infected disease 44 HIV infected (23), HIV/TB co-infected (21)

> Dataset: GSE17372

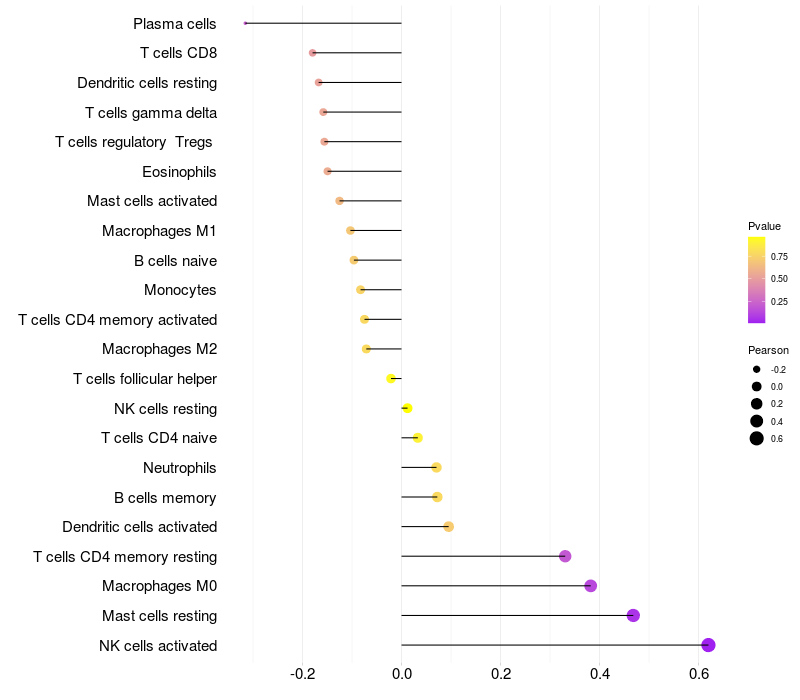
HeatMap of cell type fractions in all samples Lollipop of RASA2 expression and immune infiltrating cell level correlation result in HIV+ samples
RASA2 expression: Low -> High

> Dataset: GSE50834

HeatMap of cell type fractions in all samples Lollipop of RASA2 expression and immune infiltrating cell level correlation result in HIV+ samples
RASA2 expression: Low -> High

Contents
Description

Gene Information Note

  • Integration Table: if previous studies reported that target gene was altered by virus integration events, the overlap between VISs in this literature and Cistrome factors was listed in the "Target gene [gene] related to VIS" section

Immune Analysis Plot Note

  • Left: Heatmap of target gene expression and the level of various types of immune cells (cell type fractions) in all samples based on CIBERSORT method.
  • Right: Correlation of target gene expression and the level of various types of immune cells in virus positive samples (Pearson Correlation Coefficient).