|
Gene Information
|
Gene Name
|
ROR1 |
|
Gene ID
|
4919
|
|
Gene Full Name
|
receptor tyrosine kinase like orphan receptor 1 |
|
Gene Alias
|
NTRKR1; dJ537F10.1 |
|
Transcripts
|
ENSG00000185483
|
|
Virus
|
HBV |
|
Gene Type
|
protein coding |
|
HPA Location Info
|
Microtubules;
|
|
Membrane Info
|
Predicted membrane proteins |
|
HPA Protein Class Info
|
Disease related genes, Enzymes, Potential drug targets, Predicted intracellular proteins, Predicted membrane proteins |
|
Uniport_ID
|
Q01973
|
|
HGNC ID
|
HGNC:10256
|
|
VEGA ID
|
OTTHUMG00000009022
|
|
OMIM ID
|
602336 |
|
String ID
|
9606.ENSP00000360120
|
|
PharmGKB ID
|
PA34628
|
Target gene [ROR1] related to VISs
| DVID |
Chromosome |
HM |
TFBS |
CA |
Sum of Overlapped Records |
Detail |
| 1012711 |
chr1 |
4 |
1 |
1 |
6 |
View |
| 1013095 |
chr1 |
4 |
1 |
|
5 |
View |
| 1403124 |
chr1 |
4 |
1 |
|
5 |
View |
Relationship between gene expression and immune infiltrating cell level
| Data ID |
Disease |
Sample number |
Sample type |
|
GSE114783 (GEO) |
Chronic HBV (CHB) infection |
36 |
Chronic hepatitis B patients (HBV+)(10),Hepatocellular carcinoma (HBV+)(10),Liver cirrhosis(HBV+)(10),Normal(3),HBV carriers (3) |
|
GSE114783 (GEO) |
Hepatocellular carcinoma |
36 |
Chronic hepatitis B patients (HBV+)(10),Hepatocellular carcinoma (HBV+)(10),Liver cirrhosis(HBV+)(10),Normal(3),HBV carriers (3) |
|
GSE114783 (GEO) |
Liver cirrhosis |
36 |
Chronic hepatitis B patients (HBV+)(10),Hepatocellular carcinoma (HBV+)(10),Liver cirrhosis(HBV+)(10),Normal(3),HBV carriers (3) |
|
LIHC (TCGA) |
Liver hepatocellular carcinoma |
424 |
Liver hepatocellular carcinoma HCV (HBV+)(86), Liver hepatocellular carcinoma HCV (HBV-)(19), Liver hepatocellular carcinoma (HBV+)(209), Liver hepatocellular carcinoma (HBV+)(60), Paracancerous HCV (HBV+)(4), Paracancerous (HBV-)(28), Paracancerous (HBV+)(18) |
> Dataset: GSE114783
|
|
HeatMap of cell type fractions in all samples
|
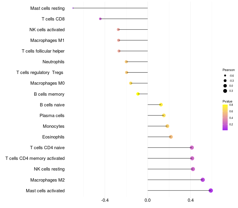
Lollipop of ROR1 expression and immune infiltrating cell level correlation result in HBV+ Chronic HBV (CHB) infection samples
|
ROR1 expression: Low -> High
|
|
|
Lollipop of ROR1 expression and immune infiltrating cell level correlation result in HBV+ Liver cirrhosis samples
|
Lollipop of ROR1 expression and immune infiltrating cell level correlation result in HBV+ Hepatocellular carcinoma samples
|
|
|
|
> Dataset: LIHC
|
|
HeatMap of cell type fractions in all samples
|
Lollipop of ROR1 expression and immune infiltrating cell level correlation result in HBV+ samples
|
ROR1 expression: Low -> High
|
|
|
|
|