HPV Target gene Detail Information

> SHH Gene Search Result


Gene Information
Gene Name SHH
Gene ID 6469
Gene Full Name sonic hedgehog
Gene Alias TPT; HHG1; HLP3; HPE3; SMMCI; ShhNC; TPTPS; MCOPCB5
Transcripts ENSG00000164690
Virus HPV
Gene Type protein coding
HPA Location Info
HPA Protein Class Info Disease related genes, Predicted intracellular proteins
Uniport_ID Q15465
HGNC ID HGNC:10848
VEGA ID OTTHUMG00000151349
OMIM ID 600725
String ID 9606.ENSP00000297261
PharmGKB ID PA35752
Target gene [SHH] related to VISs
DVID Chromosome HM TFBS CA Sum of Overlapped Records Detail
5403429 chr7 6 11 17 View
5403430 chr7 6 10 16 View
5403528 chr7 4 4 8 View

Relationship between gene expression and immune infiltrating cell level
Data ID Disease Sample number Sample type
GSE140662 (GEO) Condyloma Acuminatum 8 Condyloma acuminata (HPV+)(5), Skin(3)
GSE55546 (GEO) Oropharyngeal squamous cell carcinoma 16 Oropharyngeal cancers (HPV+)(12), Normal (4)
GSE55544 (GEO) Oropharyngeal squamous cell carcinoma 23 Oropharyngeal cancers HPV Active (11), Oropharyngeal cancers HPV Inactive (4), Oropharyngeal cancers HPV Negative (8)
GSE55542 (GEO) Oropharyngeal squamous cell carcinoma 36 Oropharyngeal cancers HPV Active (12), Oropharyngeal cancers HPV Inactive (8), Oropharyngeal cancers HPV Negative (16)
GSE51993 (GEO) Cervical intraepithelial neoplasia 24 Cervical intraepithelial neoplasia (HPV+)(17), Normal(7)
HNSC (TCGA) Head and Neck squamous cell carcinoma 566 Head and Neck squamous cell carcinoma(HPV-)(483),Head and Neck squamous cell carcinoma(HPV+)(39),Paracancerous(HPV-)(44)

> Dataset: GSE140662

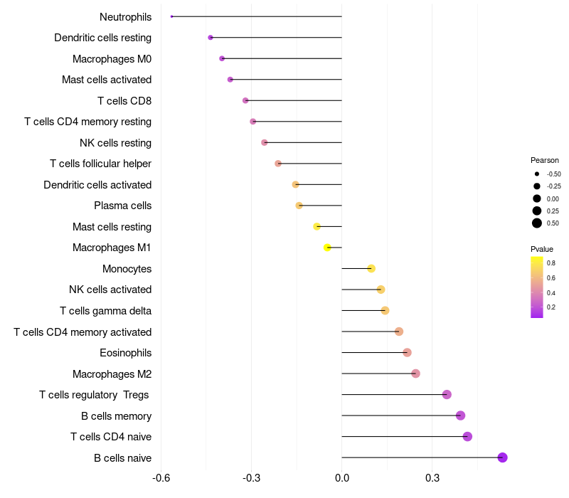
HeatMap of cell type fractions in all samples Lollipop of SHH expression and immune infiltrating cell level correlation result in HPV+ samples
SHH expression: Low -> High

> Dataset: GSE55546

HeatMap of cell type fractions in all samples Lollipop of SHH expression and immune infiltrating cell level correlation result in HPV+ samples
SHH expression: Low -> High

> Dataset: GSE55544

HeatMap of cell type fractions in all samples Lollipop of SHH expression and immune infiltrating cell level correlation result in HPV+ samples
SHH expression: Low -> High

> Dataset: GSE55542

HeatMap of cell type fractions in all samples Lollipop of SHH expression and immune infiltrating cell level correlation result in HPV+ samples
SHH expression: Low -> High

> Dataset: GSE51993

HeatMap of cell type fractions in all samples Lollipop of SHH expression and immune infiltrating cell level correlation result in HPV+ samples
SHH expression: Low -> High

> Dataset: HNSC

HeatMap of cell type fractions in all samples Lollipop of SHH expression and immune infiltrating cell level correlation result in HPV+ samples
SHH expression: Low -> High

Contents
Description

Gene Information Note

  • Integration Table: if previous studies reported that target gene was altered by virus integration events, the overlap between VISs in this literature and Cistrome factors was listed in the "Target gene [gene] related to VIS" section

Immune Analysis Plot Note

  • Left: Heatmap of target gene expression and the level of various types of immune cells (cell type fractions) in all samples based on CIBERSORT method.
  • Right: Correlation of target gene expression and the level of various types of immune cells in virus positive samples (Pearson Correlation Coefficient).