HTLV1 Target gene Detail Information

> STARD5 Gene Search Result


Gene Information
Gene Name STARD5
Gene ID 80765
Gene Full Name StAR related lipid transfer domain containing 5
Transcripts ENSG00000172345
Virus HTLV1
Gene Type protein coding
HPA Location Info Vesicles;Cytosol;
HPA Protein Class Info Predicted intracellular proteins
Uniport_ID Q9NSY2
HGNC ID HGNC:18065
VEGA ID OTTHUMG00000147342
OMIM ID 607050
String ID 9606.ENSP00000304032
PharmGKB ID PA38286
Target gene [STARD5] related to VISs
DVID Chromosome HM TFBS CA Sum of Overlapped Records Detail
6000508 chr15 489 514 378 1381 View

Relationship between gene expression and immune infiltrating cell level
Data ID Disease Sample number Sample type
GSE55851 (GEO) Adult T-cell leukemia 21 Normal (3), Asymptomatic carriers (HTLV1+)(6), Adult T-cell Leukemia-lymphoma (HTLV1+)(12)
GSE29312 (GEO) HTLV-1 associated myelopathy 39 Normal (9), Asymptomatic carriers (HTLV1+)(20), HTLV-1-associated myelopathy (HTLV1+)(10)
GSE29332 (GEO) HTLV-1 associated myelopathy 35 Normal (8), Asymptomatic carriers (HTLV1+)(17), HTLV-1-associated myelopathy (HTLV1+)(10)

> Dataset: GSE55851

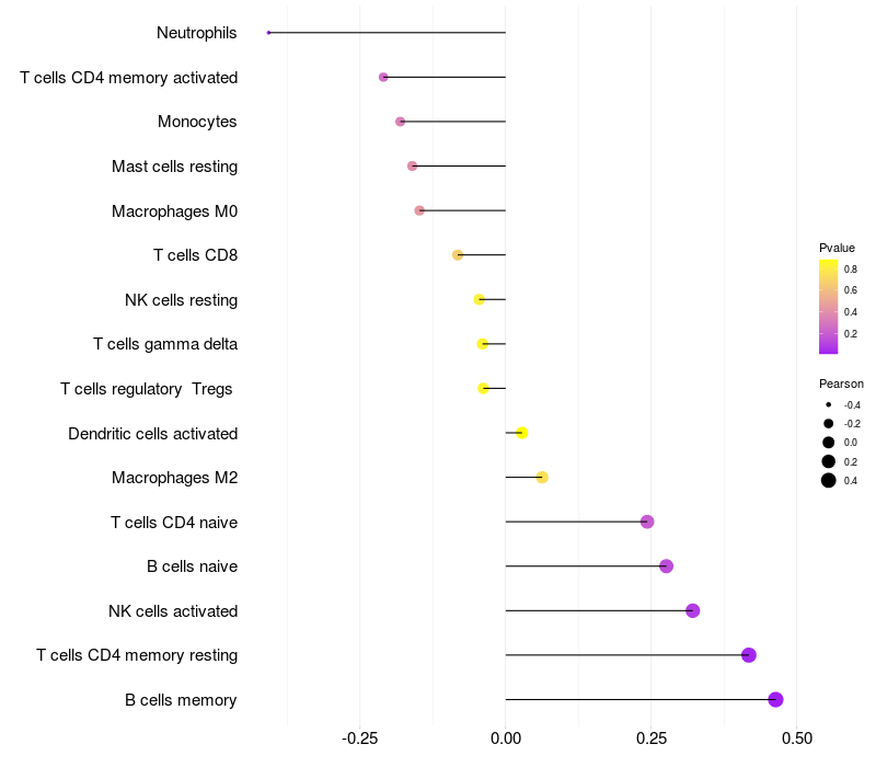
HeatMap of cell type fractions in all samples Lollipop of STARD5 expression and immune infiltrating cell level correlation result in HTLV1+ samples
STARD5 expression: Low -> High

> Dataset: GSE29312

HeatMap of cell type fractions in all samples Lollipop of STARD5 expression and immune infiltrating cell level correlation result in HTLV1+ samples
STARD5 expression: Low -> High

> Dataset: GSE29332

HeatMap of cell type fractions in all samples Lollipop of STARD5 expression and immune infiltrating cell level correlation result in HTLV1+ samples
STARD5 expression: Low -> High

Contents
Description

Gene Information Note

  • Integration Table: if previous studies reported that target gene was altered by virus integration events, the overlap between VISs in this literature and Cistrome factors was listed in the "Target gene [gene] related to VIS" section

Immune Analysis Plot Note

  • Left: Heatmap of target gene expression and the level of various types of immune cells (cell type fractions) in all samples based on CIBERSORT method.
  • Right: Correlation of target gene expression and the level of various types of immune cells in virus positive samples (Pearson Correlation Coefficient).