HTLV1 Target gene Detail Information

> SYNGR4 Gene Search Result


Gene Information
Gene Name SYNGR4
Gene ID 23546
Gene Full Name synaptogyrin 4
Transcripts ENSG00000105467
Virus HTLV1
Gene Type protein coding
HPA Location Info Golgi apparatus;
Membrane Info Predicted membrane proteins
HPA Protein Class Info Predicted intracellular proteins, Predicted membrane proteins
Uniport_ID O95473
HGNC ID HGNC:11502
VEGA ID OTTHUMG00000183214
OMIM ID 608373
String ID 9606.ENSP00000344041
PharmGKB ID PA36284
Target gene [SYNGR4] related to VISs
DVID Chromosome HM TFBS CA Sum of Overlapped Records Detail
6005537 chr19 15 39 31 85 View

Relationship between gene expression and immune infiltrating cell level
Data ID Disease Sample number Sample type
GSE55851 (GEO) Adult T-cell leukemia 21 Normal (3), Asymptomatic carriers (HTLV1+)(6), Adult T-cell Leukemia-lymphoma (HTLV1+)(12)
GSE29312 (GEO) HTLV-1 associated myelopathy 39 Normal (9), Asymptomatic carriers (HTLV1+)(20), HTLV-1-associated myelopathy (HTLV1+)(10)
GSE29332 (GEO) HTLV-1 associated myelopathy 35 Normal (8), Asymptomatic carriers (HTLV1+)(17), HTLV-1-associated myelopathy (HTLV1+)(10)

> Dataset: GSE55851

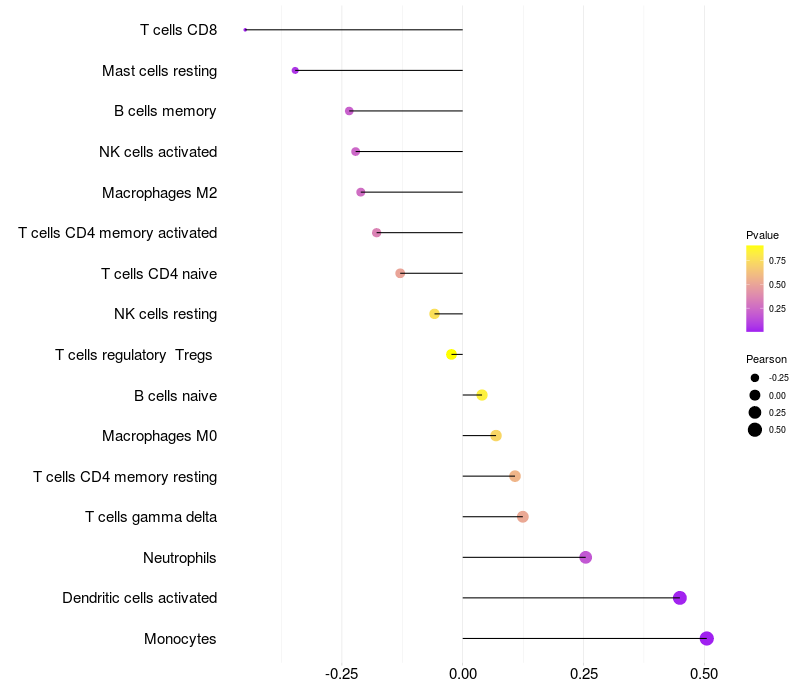
HeatMap of cell type fractions in all samples Lollipop of SYNGR4 expression and immune infiltrating cell level correlation result in HTLV1+ samples
SYNGR4 expression: Low -> High

> Dataset: GSE29312

HeatMap of cell type fractions in all samples Lollipop of SYNGR4 expression and immune infiltrating cell level correlation result in HTLV1+ samples
SYNGR4 expression: Low -> High

> Dataset: GSE29332

HeatMap of cell type fractions in all samples Lollipop of SYNGR4 expression and immune infiltrating cell level correlation result in HTLV1+ samples
SYNGR4 expression: Low -> High

Contents
Description

Gene Information Note

  • Integration Table: if previous studies reported that target gene was altered by virus integration events, the overlap between VISs in this literature and Cistrome factors was listed in the "Target gene [gene] related to VIS" section

Immune Analysis Plot Note

  • Left: Heatmap of target gene expression and the level of various types of immune cells (cell type fractions) in all samples based on CIBERSORT method.
  • Right: Correlation of target gene expression and the level of various types of immune cells in virus positive samples (Pearson Correlation Coefficient).