HTLV1 Target gene Detail Information

> TMEM156 Gene Search Result


Gene Information
Gene Name TMEM156
Gene ID 80008
Gene Full Name transmembrane protein 156
Transcripts ENSG00000121895
Virus HTLV1
Gene Type protein coding
HPA Location Info
Membrane Info Predicted membrane proteins
HPA Protein Class Info Predicted membrane proteins
Uniport_ID Q8N614
HGNC ID HGNC:26260
VEGA ID OTTHUMG00000128582
String ID 9606.ENSP00000371364
PharmGKB ID PA145007464
Target gene [TMEM156] related to VISs
DVID Chromosome HM TFBS CA Sum of Overlapped Records Detail
6012636 chr4 3 6 13 22 View

Relationship between gene expression and immune infiltrating cell level
Data ID Disease Sample number Sample type
GSE55851 (GEO) Adult T-cell leukemia 21 Normal (3), Asymptomatic carriers (HTLV1+)(6), Adult T-cell Leukemia-lymphoma (HTLV1+)(12)
GSE29312 (GEO) HTLV-1 associated myelopathy 39 Normal (9), Asymptomatic carriers (HTLV1+)(20), HTLV-1-associated myelopathy (HTLV1+)(10)
GSE29332 (GEO) HTLV-1 associated myelopathy 35 Normal (8), Asymptomatic carriers (HTLV1+)(17), HTLV-1-associated myelopathy (HTLV1+)(10)

> Dataset: GSE55851

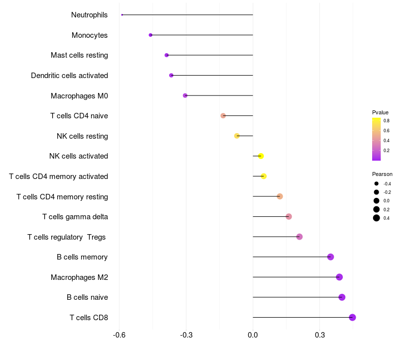
HeatMap of cell type fractions in all samples Lollipop of TMEM156 expression and immune infiltrating cell level correlation result in HTLV1+ samples
TMEM156 expression: Low -> High

> Dataset: GSE29312

HeatMap of cell type fractions in all samples Lollipop of TMEM156 expression and immune infiltrating cell level correlation result in HTLV1+ samples
TMEM156 expression: Low -> High

> Dataset: GSE29332

HeatMap of cell type fractions in all samples Lollipop of TMEM156 expression and immune infiltrating cell level correlation result in HTLV1+ samples
TMEM156 expression: Low -> High

Contents
Description

Gene Information Note

  • Integration Table: if previous studies reported that target gene was altered by virus integration events, the overlap between VISs in this literature and Cistrome factors was listed in the "Target gene [gene] related to VIS" section

Immune Analysis Plot Note

  • Left: Heatmap of target gene expression and the level of various types of immune cells (cell type fractions) in all samples based on CIBERSORT method.
  • Right: Correlation of target gene expression and the level of various types of immune cells in virus positive samples (Pearson Correlation Coefficient).