|
Gene Information
|
Gene Name
|
TMEM63B |
|
Gene ID
|
55362
|
|
Gene Full Name
|
transmembrane protein 63B |
|
Gene Alias
|
C6orf110 |
|
Transcripts
|
ENSG00000137216
|
|
Virus
|
HPV |
|
Gene Type
|
protein coding |
|
HPA Location Info
|
Actin filaments;Plasma membrane;
|
|
Membrane Info
|
Predicted membrane proteins |
|
HPA Protein Class Info
|
Predicted membrane proteins, Transporters |
|
Uniport_ID
|
Q5T3F8
|
|
HGNC ID
|
HGNC:17735
|
|
VEGA ID
|
OTTHUMG00000014757
|
|
String ID
|
9606.ENSP00000259746
|
|
PharmGKB ID
|
PA134911221
|
Target gene [TMEM63B] related to VISs
| DVID |
Chromosome |
HM |
TFBS |
CA |
Sum of Overlapped Records |
Detail |
| 5300191 |
chr6 |
|
|
|
0 |
View |
| 5300192 |
chr6 |
6 |
8 |
|
14 |
View |
Relationship between gene expression and immune infiltrating cell level
| Data ID |
Disease |
Sample number |
Sample type |
|
GSE40774 (GEO) |
Head and neck squamous cell carcinoma |
134 |
Head and neck Squamous cell carcinomas GLOTTIC LARYNX (EBV-)(2), Head and neck Squamous cell carcinomas HYPOPHARYNX (EBV-)(9), Head and neck Squamous cell carcinomas ORAL CAVITY (EBV-)(23), Head and neck Squamous cell carcinomas ORAL CAVITY (EBV+)(2), Head and neck Squamous cell carcinomas OROPHARYNX (EBV-)(22), Head and neck Squamous cell carcinomas OROPHARYNX (EBV+)(54), Head and neck Squamous cell carcinomas OTHER (EBV+)(1), Head and neck Squamous cell carcinomas SUBGLOTTIC LARYNX (EBV-)(1), Head and neck Squamous cell carcinomas SUPRAGLOTTIC (EBV-)(19), Squamous cell carcinomas SUPRAGLOTTIC (EBV+)(1) |
|
GSE138080 (GEO) |
Cervical intraepithelial neoplasia |
25 |
Normal (10), Cervical intraepithelial neoplasia (HPV+)(15) |
|
HNSC (TCGA) |
Head and Neck squamous cell carcinoma |
566 |
Head and Neck squamous cell carcinoma(HPV-)(483),Head and Neck squamous cell carcinoma(HPV+)(39),Paracancerous(HPV-)(44) |
> Dataset: GSE40774
|
|
HeatMap of cell type fractions in all samples
|
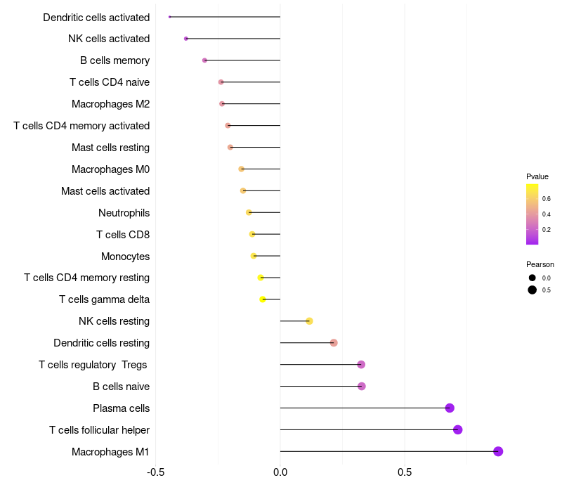
Lollipop of TMEM63B expression and immune infiltrating cell level correlation result in HPV+ samples
|
TMEM63B expression: Low -> High
|
|
|
> Dataset: GSE138080
|
|
HeatMap of cell type fractions in all samples
|
Lollipop of TMEM63B expression and immune infiltrating cell level correlation result in HPV+ samples
|
TMEM63B expression: Low -> High
|
|
|
> Dataset: HNSC
|
|
HeatMap of cell type fractions in all samples
|
Lollipop of TMEM63B expression and immune infiltrating cell level correlation result in HPV+ samples
|
TMEM63B expression: Low -> High
|
|
|
|
|