|
Gene Information
|
Gene Name
|
TMEM67 |
|
Gene ID
|
91147
|
|
Gene Full Name
|
transmembrane protein 67 |
|
Gene Alias
|
MKS3; JBTS6; NPHP11; TNEM67; MECKELIN |
|
Transcripts
|
ENSG00000164953
|
|
Virus
|
HTLV1 |
|
Gene Type
|
protein coding |
|
HPA Location Info
|
|
|
Membrane Info
|
Predicted membrane proteins |
|
HPA Protein Class Info
|
Disease related genes, Potential drug targets, Predicted intracellular proteins, Predicted membrane proteins, Transporters |
|
Uniport_ID
|
Q5HYA8
|
|
HGNC ID
|
HGNC:28396
|
|
VEGA ID
|
OTTHUMG00000153119
|
|
OMIM ID
|
609884 |
|
String ID
|
9606.ENSP00000389998
|
|
PharmGKB ID
|
PA142670780
|
Target gene [TMEM67] related to VISs
| DVID |
Chromosome |
HM |
TFBS |
CA |
Sum of Overlapped Records |
Detail |
| 6001087 |
chr8 |
456 |
112 |
27 |
595 |
View |
| 6006955 |
chr8 |
61 |
|
|
61 |
View |
| 6022626 |
chr8 |
5 |
|
|
5 |
View |
Relationship between gene expression and immune infiltrating cell level
| Data ID |
Disease |
Sample number |
Sample type |
|
GSE55851 (GEO) |
Adult T-cell leukemia |
21 |
Normal (3), Asymptomatic carriers (HTLV1+)(6), Adult T-cell Leukemia-lymphoma (HTLV1+)(12) |
|
GSE29312 (GEO) |
HTLV-1 associated myelopathy |
39 |
Normal (9), Asymptomatic carriers (HTLV1+)(20), HTLV-1-associated myelopathy (HTLV1+)(10) |
|
GSE29332 (GEO) |
HTLV-1 associated myelopathy |
35 |
Normal (8), Asymptomatic carriers (HTLV1+)(17), HTLV-1-associated myelopathy (HTLV1+)(10) |
> Dataset: GSE55851
|
|
HeatMap of cell type fractions in all samples
|
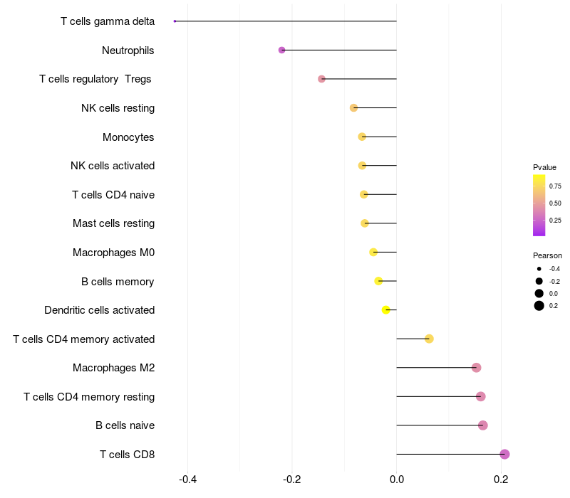
Lollipop of TMEM67 expression and immune infiltrating cell level correlation result in HTLV1+ samples
|
TMEM67 expression: Low -> High
|
|
|
> Dataset: GSE29312
|
|
HeatMap of cell type fractions in all samples
|
Lollipop of TMEM67 expression and immune infiltrating cell level correlation result in HTLV1+ samples
|
TMEM67 expression: Low -> High
|
|
|
> Dataset: GSE29332
|
|
HeatMap of cell type fractions in all samples
|
Lollipop of TMEM67 expression and immune infiltrating cell level correlation result in HTLV1+ samples
|
TMEM67 expression: Low -> High
|
|
|
|
|