HTLV1 Target gene Detail Information

> TRIB1 Gene Search Result


Gene Information
Gene Name TRIB1
Gene ID 10221
Gene Full Name tribbles pseudokinase 1
Gene Alias C8FW; GIG2; TRB1; GIG-2; SKIP1; TRB-1
Transcripts ENSG00000173334
Virus HTLV1
Gene Type protein coding
HPA Location Info Cytosol;Plasma membrane;
HPA Protein Class Info Enzymes, Predicted intracellular proteins
Gene Function Oncogene
Uniport_ID Q96RU8
HGNC ID HGNC:16891
VEGA ID OTTHUMG00000165007
OMIM ID 609461
String ID 9606.ENSP00000312150
PharmGKB ID PA134963922
Target gene [TRIB1] related to VISs
DVID Chromosome HM TFBS CA Sum of Overlapped Records Detail
6005471 chr8 67 15 4 86 View
6005671 chr8 67 11 4 82 View

Relationship between gene expression and immune infiltrating cell level
Data ID Disease Sample number Sample type
GSE55851 (GEO) Adult T-cell leukemia 21 Normal (3), Asymptomatic carriers (HTLV1+)(6), Adult T-cell Leukemia-lymphoma (HTLV1+)(12)
GSE29312 (GEO) HTLV-1 associated myelopathy 39 Normal (9), Asymptomatic carriers (HTLV1+)(20), HTLV-1-associated myelopathy (HTLV1+)(10)
GSE29332 (GEO) HTLV-1 associated myelopathy 35 Normal (8), Asymptomatic carriers (HTLV1+)(17), HTLV-1-associated myelopathy (HTLV1+)(10)

> Dataset: GSE55851

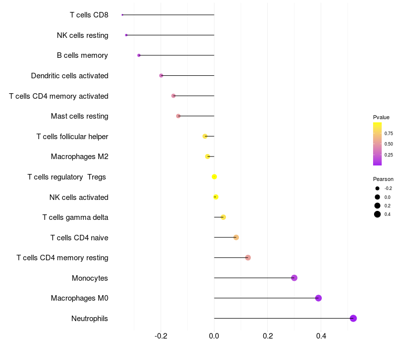
HeatMap of cell type fractions in all samples Lollipop of TRIB1 expression and immune infiltrating cell level correlation result in HTLV1+ samples
TRIB1 expression: Low -> High

> Dataset: GSE29312

HeatMap of cell type fractions in all samples Lollipop of TRIB1 expression and immune infiltrating cell level correlation result in HTLV1+ samples
TRIB1 expression: Low -> High

> Dataset: GSE29332

HeatMap of cell type fractions in all samples Lollipop of TRIB1 expression and immune infiltrating cell level correlation result in HTLV1+ samples
TRIB1 expression: Low -> High

Contents
Description

Gene Information Note

  • Integration Table: if previous studies reported that target gene was altered by virus integration events, the overlap between VISs in this literature and Cistrome factors was listed in the "Target gene [gene] related to VIS" section

Immune Analysis Plot Note

  • Left: Heatmap of target gene expression and the level of various types of immune cells (cell type fractions) in all samples based on CIBERSORT method.
  • Right: Correlation of target gene expression and the level of various types of immune cells in virus positive samples (Pearson Correlation Coefficient).