HTLV1 Target gene Detail Information

> TST Gene Search Result


Gene Information
Gene Name TST
Gene ID 7263
Gene Full Name thiosulfate sulfurtransferase
Gene Alias RDS
Transcripts ENSG00000128311
Virus HTLV1
Gene Type protein coding
HPA Location Info Mitochondria;
HPA Protein Class Info Enzymes, Predicted intracellular proteins
Uniport_ID Q16762
HGNC ID HGNC:12388
VEGA ID OTTHUMG00000150533
OMIM ID 180370
String ID 9606.ENSP00000385828
Drugbank ID BE0004455
PharmGKB ID PA37055
Target gene [TST] related to VISs
DVID Chromosome HM TFBS CA Sum of Overlapped Records Detail
6029859 chr22 1 1 View

Relationship between gene expression and immune infiltrating cell level
Data ID Disease Sample number Sample type
GSE55851 (GEO) Adult T-cell leukemia 21 Normal (3), Asymptomatic carriers (HTLV1+)(6), Adult T-cell Leukemia-lymphoma (HTLV1+)(12)
GSE29312 (GEO) HTLV-1 associated myelopathy 39 Normal (9), Asymptomatic carriers (HTLV1+)(20), HTLV-1-associated myelopathy (HTLV1+)(10)
GSE29332 (GEO) HTLV-1 associated myelopathy 35 Normal (8), Asymptomatic carriers (HTLV1+)(17), HTLV-1-associated myelopathy (HTLV1+)(10)

> Dataset: GSE55851

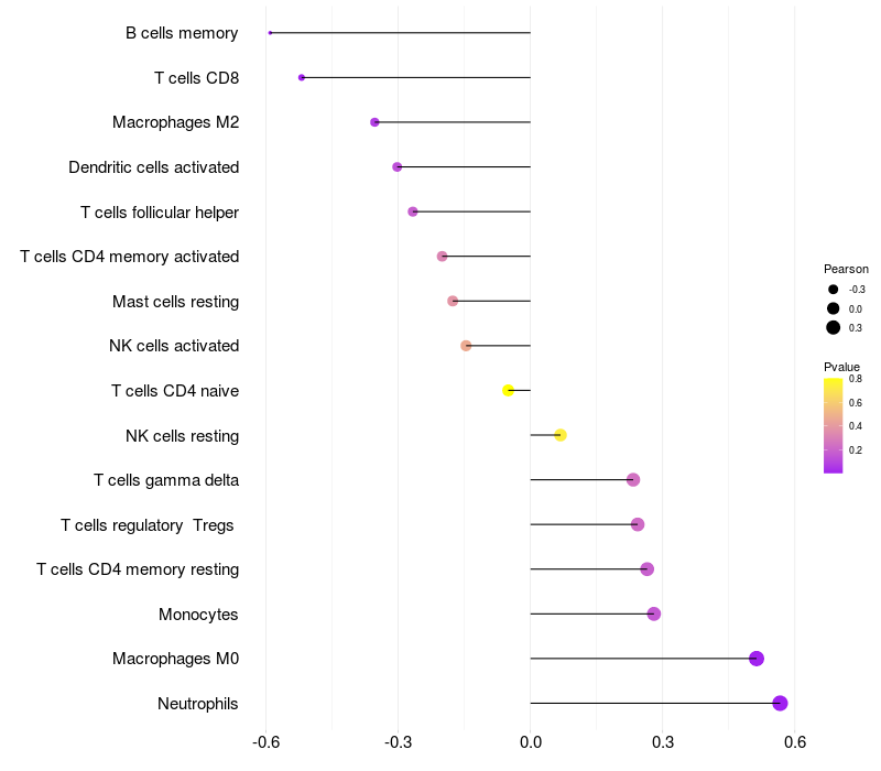
HeatMap of cell type fractions in all samples Lollipop of TST expression and immune infiltrating cell level correlation result in HTLV1+ samples
TST expression: Low -> High

> Dataset: GSE29312

HeatMap of cell type fractions in all samples Lollipop of TST expression and immune infiltrating cell level correlation result in HTLV1+ samples
TST expression: Low -> High

> Dataset: GSE29332

HeatMap of cell type fractions in all samples Lollipop of TST expression and immune infiltrating cell level correlation result in HTLV1+ samples
TST expression: Low -> High

Contents
Description

Gene Information Note

  • Integration Table: if previous studies reported that target gene was altered by virus integration events, the overlap between VISs in this literature and Cistrome factors was listed in the "Target gene [gene] related to VIS" section

Immune Analysis Plot Note

  • Left: Heatmap of target gene expression and the level of various types of immune cells (cell type fractions) in all samples based on CIBERSORT method.
  • Right: Correlation of target gene expression and the level of various types of immune cells in virus positive samples (Pearson Correlation Coefficient).