|
Gene Information
|
Gene Name
|
ULK1 |
|
Gene ID
|
8408
|
|
Gene Full Name
|
unc-51 like autophagy activating kinase 1 |
|
Gene Alias
|
ATG1; ATG1A; UNC51; hATG1; Unc51.1 |
|
Transcripts
|
ENSG00000177169
|
|
Virus
|
HBV |
|
Gene Type
|
protein coding |
|
HPA Location Info
|
Cytosol;
|
|
HPA Protein Class Info
|
Enzymes, Plasma proteins, Predicted intracellular proteins |
|
Uniport_ID
|
O75385
|
|
HGNC ID
|
HGNC:12558
|
|
VEGA ID
|
OTTHUMG00000168052
|
|
OMIM ID
|
603168 |
|
String ID
|
9606.ENSP00000324560
|
|
Drugbank ID
|
BE0009359
|
|
Drug (Cytoscape Annotation)
|
Crizotinib;SunitinibMalate;RuxolitinibPhosphate |
|
PharmGKB ID
|
PA37198
|
Target gene [ULK1] related to VISs
| DVID |
Chromosome |
HM |
TFBS |
CA |
Sum of Overlapped Records |
Detail |
| 1401814 |
chr12 |
15 |
2 |
|
17 |
View |
Relationship between gene expression and immune infiltrating cell level
| Data ID |
Disease |
Sample number |
Sample type |
|
GSE114783 (GEO) |
Chronic HBV (CHB) infection |
36 |
Chronic hepatitis B patients (HBV+)(10),Hepatocellular carcinoma (HBV+)(10),Liver cirrhosis(HBV+)(10),Normal(3),HBV carriers (3) |
|
GSE114783 (GEO) |
Hepatocellular carcinoma |
36 |
Chronic hepatitis B patients (HBV+)(10),Hepatocellular carcinoma (HBV+)(10),Liver cirrhosis(HBV+)(10),Normal(3),HBV carriers (3) |
|
GSE114783 (GEO) |
Liver cirrhosis |
36 |
Chronic hepatitis B patients (HBV+)(10),Hepatocellular carcinoma (HBV+)(10),Liver cirrhosis(HBV+)(10),Normal(3),HBV carriers (3) |
|
LIHC (TCGA) |
Liver hepatocellular carcinoma |
424 |
Liver hepatocellular carcinoma HCV (HBV+)(86), Liver hepatocellular carcinoma HCV (HBV-)(19), Liver hepatocellular carcinoma (HBV+)(209), Liver hepatocellular carcinoma (HBV+)(60), Paracancerous HCV (HBV+)(4), Paracancerous (HBV-)(28), Paracancerous (HBV+)(18) |
> Dataset: GSE114783
|
|
HeatMap of cell type fractions in all samples
|
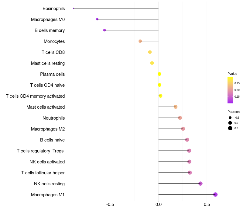
Lollipop of ULK1 expression and immune infiltrating cell level correlation result in HBV+ Chronic HBV (CHB) infection samples
|
ULK1 expression: Low -> High
|
|
|
Lollipop of ULK1 expression and immune infiltrating cell level correlation result in HBV+ Liver cirrhosis samples
|
Lollipop of ULK1 expression and immune infiltrating cell level correlation result in HBV+ Hepatocellular carcinoma samples
|
|
|
|
> Dataset: LIHC
|
|
HeatMap of cell type fractions in all samples
|
Lollipop of ULK1 expression and immune infiltrating cell level correlation result in HBV+ samples
|
ULK1 expression: Low -> High
|
|
|
|
|