HPV Target gene Detail Information

> UNC93A Gene Search Result


Gene Information
Gene Name UNC93A
Gene ID 54346
Gene Full Name unc-93 homolog A
Gene Alias Unc-93A; dJ366N23.1; dJ366N23.2
Transcripts ENSG00000112494
Virus HPV
Gene Type protein coding
HPA Location Info
Membrane Info Predicted membrane proteins
HPA Protein Class Info Predicted membrane proteins
Uniport_ID Q86WB7
HGNC ID HGNC:12570
VEGA ID OTTHUMG00000016021
OMIM ID 607995
String ID 9606.ENSP00000230256
PharmGKB ID PA37207
Target gene [UNC93A] related to VISs
DVID Chromosome HM TFBS CA Sum of Overlapped Records Detail
5403609 chr6 10 10 View

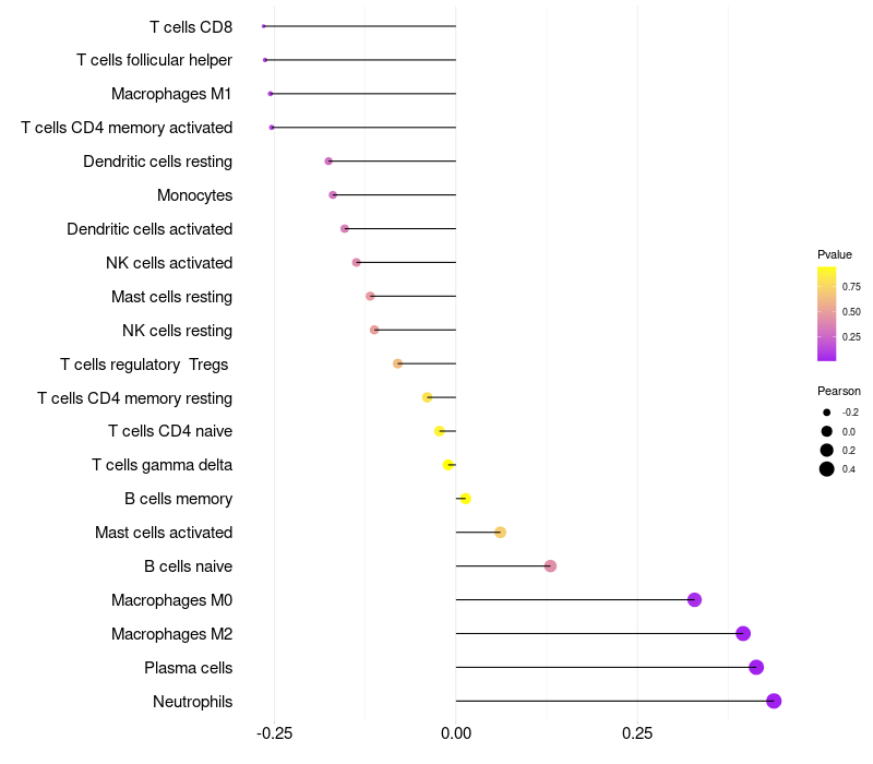
Relationship between gene expression and immune infiltrating cell level
Data ID Disease Sample number Sample type
GSE140662 (GEO) Condyloma Acuminatum 8 Condyloma acuminata (HPV+)(5), Skin(3)
GSE65858 (GEO) Head and neck squamous cell carcinoma 270 Head and neck squamous cell carcinoma (EBV+)(73), Head and neck squamous cell carcinoma (EBV-)(197)
GSE55546 (GEO) Oropharyngeal squamous cell carcinoma 16 Oropharyngeal cancers (HPV+)(12), Normal (4)
GSE55544 (GEO) Oropharyngeal squamous cell carcinoma 23 Oropharyngeal cancers HPV Active (11), Oropharyngeal cancers HPV Inactive (4), Oropharyngeal cancers HPV Negative (8)
GSE55542 (GEO) Oropharyngeal squamous cell carcinoma 36 Oropharyngeal cancers HPV Active (12), Oropharyngeal cancers HPV Inactive (8), Oropharyngeal cancers HPV Negative (16)
GSE51993 (GEO) Cervical intraepithelial neoplasia 24 Cervical intraepithelial neoplasia (HPV+)(17), Normal(7)
HNSC (TCGA) Head and Neck squamous cell carcinoma 566 Head and Neck squamous cell carcinoma(HPV-)(483),Head and Neck squamous cell carcinoma(HPV+)(39),Paracancerous(HPV-)(44)

> Dataset: GSE140662

HeatMap of cell type fractions in all samples Lollipop of UNC93A expression and immune infiltrating cell level correlation result in HPV+ samples
UNC93A expression: Low -> High

> Dataset: GSE65858

HeatMap of cell type fractions in all samples Lollipop of UNC93A expression and immune infiltrating cell level correlation result in HPV+ samples
UNC93A expression: Low -> High

> Dataset: GSE55546

HeatMap of cell type fractions in all samples Lollipop of UNC93A expression and immune infiltrating cell level correlation result in HPV+ samples
UNC93A expression: Low -> High

> Dataset: GSE55544

HeatMap of cell type fractions in all samples Lollipop of UNC93A expression and immune infiltrating cell level correlation result in HPV+ samples
UNC93A expression: Low -> High

> Dataset: GSE55542

HeatMap of cell type fractions in all samples Lollipop of UNC93A expression and immune infiltrating cell level correlation result in HPV+ samples
UNC93A expression: Low -> High

> Dataset: GSE51993

HeatMap of cell type fractions in all samples Lollipop of UNC93A expression and immune infiltrating cell level correlation result in HPV+ samples
UNC93A expression: Low -> High

> Dataset: HNSC

HeatMap of cell type fractions in all samples Lollipop of UNC93A expression and immune infiltrating cell level correlation result in HPV+ samples
UNC93A expression: Low -> High

Contents
Description

Gene Information Note

  • Integration Table: if previous studies reported that target gene was altered by virus integration events, the overlap between VISs in this literature and Cistrome factors was listed in the "Target gene [gene] related to VIS" section

Immune Analysis Plot Note

  • Left: Heatmap of target gene expression and the level of various types of immune cells (cell type fractions) in all samples based on CIBERSORT method.
  • Right: Correlation of target gene expression and the level of various types of immune cells in virus positive samples (Pearson Correlation Coefficient).