|
Gene Information
Target gene [ZNF493] related to VISs
| DVID |
Chromosome |
HM |
TFBS |
CA |
Sum of Overlapped Records |
Detail |
| 5402080 |
chr19 |
5 |
|
1 |
6 |
View |
Relationship between gene expression and immune infiltrating cell level
| Data ID |
Disease |
Sample number |
Sample type |
|
GSE65858 (GEO) |
Head and neck squamous cell carcinoma |
270 |
Head and neck squamous cell carcinoma (EBV+)(73), Head and neck squamous cell carcinoma (EBV-)(197) |
|
GSE40774 (GEO) |
Head and neck squamous cell carcinoma |
134 |
Head and neck Squamous cell carcinomas GLOTTIC LARYNX (EBV-)(2), Head and neck Squamous cell carcinomas HYPOPHARYNX (EBV-)(9), Head and neck Squamous cell carcinomas ORAL CAVITY (EBV-)(23), Head and neck Squamous cell carcinomas ORAL CAVITY (EBV+)(2), Head and neck Squamous cell carcinomas OROPHARYNX (EBV-)(22), Head and neck Squamous cell carcinomas OROPHARYNX (EBV+)(54), Head and neck Squamous cell carcinomas OTHER (EBV+)(1), Head and neck Squamous cell carcinomas SUBGLOTTIC LARYNX (EBV-)(1), Head and neck Squamous cell carcinomas SUPRAGLOTTIC (EBV-)(19), Squamous cell carcinomas SUPRAGLOTTIC (EBV+)(1) |
|
GSE138080 (GEO) |
Cervical intraepithelial neoplasia |
25 |
Normal (10), Cervical intraepithelial neoplasia (HPV+)(15) |
|
HNSC (TCGA) |
Head and Neck squamous cell carcinoma |
566 |
Head and Neck squamous cell carcinoma(HPV-)(483),Head and Neck squamous cell carcinoma(HPV+)(39),Paracancerous(HPV-)(44) |
> Dataset: GSE65858
|
|
HeatMap of cell type fractions in all samples
|
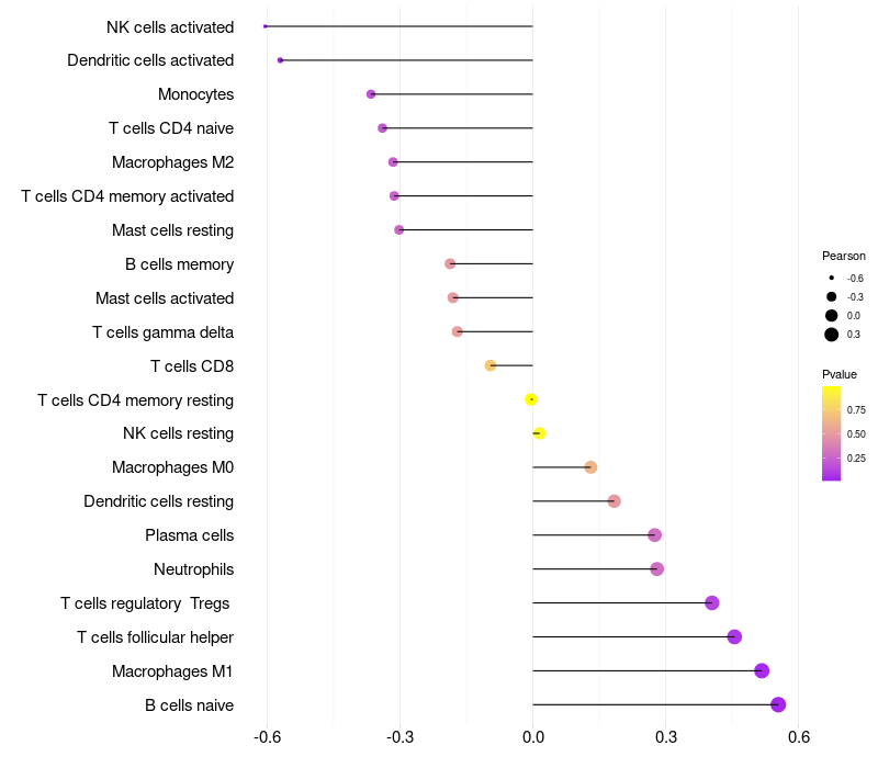
Lollipop of ZNF493 expression and immune infiltrating cell level correlation result in HPV+ samples
|
ZNF493 expression: Low -> High
|
|
|
> Dataset: GSE40774
|
|
HeatMap of cell type fractions in all samples
|
Lollipop of ZNF493 expression and immune infiltrating cell level correlation result in HPV+ samples
|
ZNF493 expression: Low -> High
|
|
|
> Dataset: GSE138080
|
|
HeatMap of cell type fractions in all samples
|
Lollipop of ZNF493 expression and immune infiltrating cell level correlation result in HPV+ samples
|
ZNF493 expression: Low -> High
|
|
|
> Dataset: HNSC
|
|
HeatMap of cell type fractions in all samples
|
Lollipop of ZNF493 expression and immune infiltrating cell level correlation result in HPV+ samples
|
ZNF493 expression: Low -> High
|
|
|
|
|