HPV Target gene Detail Information

> ZNF91 Gene Search Result


Gene Information
Gene Name ZNF91
Gene ID 7644
Gene Full Name zinc finger protein 91
Gene Alias HPF7; HTF10
Transcripts ENSG00000167232
Virus HPV
Gene Type protein coding
HPA Location Info
HPA Protein Class Info Cancer-related genes, Predicted intracellular proteins, Transcription factors
Uniport_ID Q05481
HGNC ID HGNC:13166
VEGA ID OTTHUMG00000183268
OMIM ID 603971
String ID 9606.ENSP00000300619
PharmGKB ID PA37739
Target gene [ZNF91] related to VISs
DVID Chromosome HM TFBS CA Sum of Overlapped Records Detail
5400774 chr19 7 1 8 View

Relationship between gene expression and immune infiltrating cell level
Data ID Disease Sample number Sample type
GSE138080 (GEO) Cervical intraepithelial neoplasia 25 Normal (10), Cervical intraepithelial neoplasia (HPV+)(15)
HNSC (TCGA) Head and Neck squamous cell carcinoma 566 Head and Neck squamous cell carcinoma(HPV-)(483),Head and Neck squamous cell carcinoma(HPV+)(39),Paracancerous(HPV-)(44)

> Dataset: GSE138080

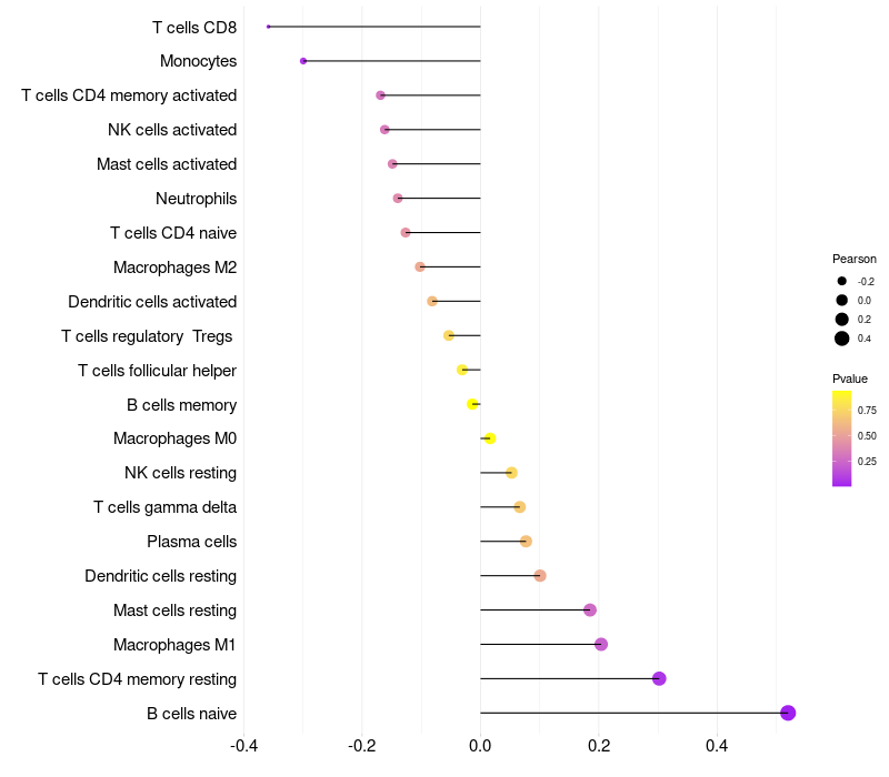
HeatMap of cell type fractions in all samples Lollipop of ZNF91 expression and immune infiltrating cell level correlation result in HPV+ samples
ZNF91 expression: Low -> High

> Dataset: HNSC

HeatMap of cell type fractions in all samples Lollipop of ZNF91 expression and immune infiltrating cell level correlation result in HPV+ samples
ZNF91 expression: Low -> High

Contents
Description

Gene Information Note

  • Integration Table: if previous studies reported that target gene was altered by virus integration events, the overlap between VISs in this literature and Cistrome factors was listed in the "Target gene [gene] related to VIS" section

Immune Analysis Plot Note

  • Left: Heatmap of target gene expression and the level of various types of immune cells (cell type fractions) in all samples based on CIBERSORT method.
  • Right: Correlation of target gene expression and the level of various types of immune cells in virus positive samples (Pearson Correlation Coefficient).