HTLV1 Target gene Detail Information

> LOC112268283 Gene Search Result


Gene Information
Gene Name LOC112268283
Gene ID 112268283
Gene Full Name -
Gene Alias -
Virus HTLV1
Gene Type ncRNA
Target gene [LOC112268283] related to VISs

Integration Table: if previous studies reported that target gene was altered by virus integration events, the overlap between VISs in this literature and Cistrome factors was listed in this section


DVID Chromosome HM TFBS CA Sum of Overlapped Records Detail
6033265 chr21 0 0 0 0 View

Target gene [LOC112268283] related to Omics data
Data ID Experiment type Sample number Platform
C
  GSE94732
Chip-seq 24 Illumina NextSeq 500 (Homo sapiens);illumina Genome Analyzer IIx (Homo sapiens)


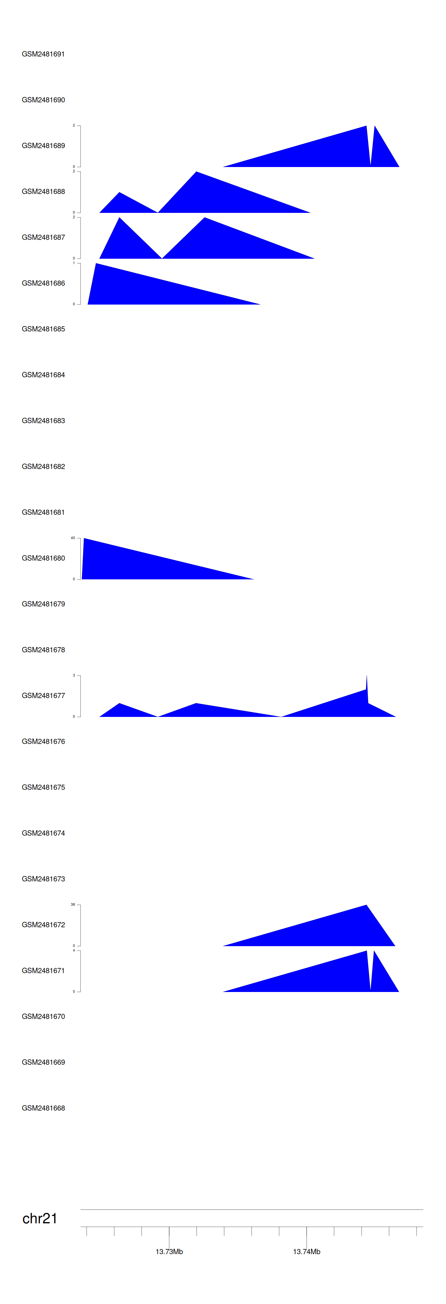
When the gene can detect a peak in the dataset, a peak plot will be displayed.


> Dataset: GSE94732 - LOC112268283 peak across samples

Peak Plot