HBV Target gene Detail Information

> RNU6-2 Gene Search Result


Gene Information
Gene Name RNU6-2
Gene ID 103625684
Gene Full Name RNA, U6 small nuclear 2
Gene Alias U6-2
Transcripts ENSG00000207357
Virus HBV
Gene Type snRNA
HGNC ID HGNC:34270
Summary Predicted to enable U4 snRNA binding activity. Predicted to be involved in formation of quadruple SL/U4/U5/U6 snRNP and spliceosomal tri-snRNP complex assembly. Predicted to be part of U4/U6 x U5 tri-snRNP complex and U6 snRNP. [provided by Alliance of Genome Resources, Apr 2025]
Target gene [RNU6-2] related to VISs

Integration Table: if previous studies reported that target gene was altered by virus integration events, the overlap between VISs in this literature and Cistrome factors was listed in this section


DVID Chromosome HM TFBS CA Sum of Overlapped Records Detail
1020500 chr14 8 7 0 15 View

Target gene [RNU6-2] related to Omics data
Data ID Experiment type Sample number Platform
GSE236281 RNA-seq 12 Illumina MiSeq (Homo sapiens)
C
  GSE68402
Chip-seq 26 Illumina MiSeq (Homo sapiens);Illumina HiSeq 2500 (Homo sapiens)
TCGA_LIHC_HBV DNA methylation sequencing;RNA-seq 97 TCGA
C
  GSE270130
Chip-seq 27 Illumina NovaSeq 6000 (Homo sapiens)
GSE224901 RNA-seq 21 Illumina NovaSeq 6000 (Homo sapiens)
GSE100400 Chip-seq;RNA-seq;4C_cccDNA 31 Illumina NextSeq 500 (Homo sapiens);Illumina NextSeq 500 (Mus musculus)
GSE173897 RNA-seq 95 Illumina HiSeq 4000 (Homo sapiens)
GSE262515 RNA-seq 21 Illumina HiSeq 2500 (Homo sapiens);Illumina HiSeq 2500 (Mus musculus)
GSE110345 RNA-seq 4 Illumina HiSeq 2500 (Homo sapiens)
C
  GSE131257
ATAC-seq;RNA-seq 19 Illumina HiSeq 2500 (Homo sapiens)
GSE94660 RNA-seq 42 Illumina HiSeq 2500 (Homo sapiens)


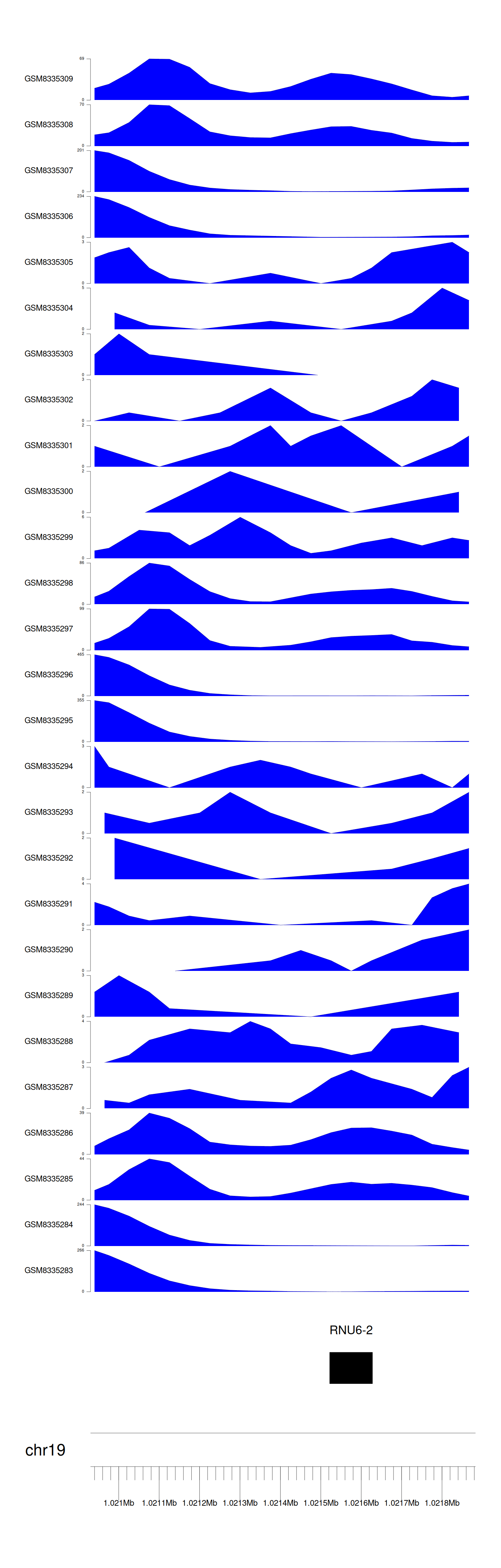
When the gene can detect a peak in the dataset, a peak plot will be displayed.


> Dataset: GSE68402 - RNU6-2 peak across samples

Peak Plot


> Dataset: GSE270130 - RNU6-2 peak across samples

Peak Plot


> Dataset: GSE131257 - RNU6-2 peak across samples

Peak Plot