HPV Target gene Detail Information

> MIR4741 Gene Search Result


Gene Information
Gene Name MIR4741
Gene ID 100616139
Gene Full Name microRNA 4741
Gene Alias mir-4741
Transcripts ENSG00000284331
Virus HPV
Gene Type ncRNA
HGNC ID HGNC:41661
miRBase ID MI0017379
miRBase Name hsa-mir-4741
Summary microRNAs (miRNAs) are short (20-24 nt) non-coding RNAs that are involved in post-transcriptional regulation of gene expression in multicellular organisms by affecting both the stability and translation of mRNAs. miRNAs are transcribed by RNA polymerase II as part of capped and polyadenylated primary transcripts (pri-miRNAs) that can be either protein-coding or non-coding. The primary transcript is cleaved by the Drosha ribonuclease III enzyme to produce an approximately 70-nt stem-loop precursor miRNA (pre-miRNA), which is further cleaved by the cytoplasmic Dicer ribonuclease to generate the mature miRNA and antisense miRNA star (miRNA*) products. The mature miRNA is incorporated into a RNA-induced silencing complex (RISC), which recognizes target mRNAs through imperfect base pairing with the miRNA and most commonly results in translational inhibition or destabilization of the target mRNA. The RefSeq represents the predicted microRNA stem-loop. [provided by RefSeq, Sep 2009]
Target gene [MIR4741] related to VISs

Integration Table: if previous studies reported that target gene was altered by virus integration events, the overlap between VISs in this literature and Cistrome factors was listed in this section


DVID Chromosome HM TFBS CA Sum of Overlapped Records Detail
5004721 chr18 2476 1836 961 5273 View

Target gene [MIR4741] related to Omics data
Data ID Experiment type Sample number Platform
GSE140662 Expression array 8 [HTA-2_0] Affymetrix Human Transcriptome Array 2.0 [transcript (gene) version]
C
  GSE143026
ATAC-seq;Chip-seq;RNA-seq 30 Illumina HiSeq 2500 (Homo sapiens)
GSE196215 RNA-seq 8 Illumina NovaSeq 6000 (Homo sapiens)
GSE181805 Expression array 25 [HTA-2_0] Affymetrix Human Transcriptome Array 2.0 [transcript (gene) version]


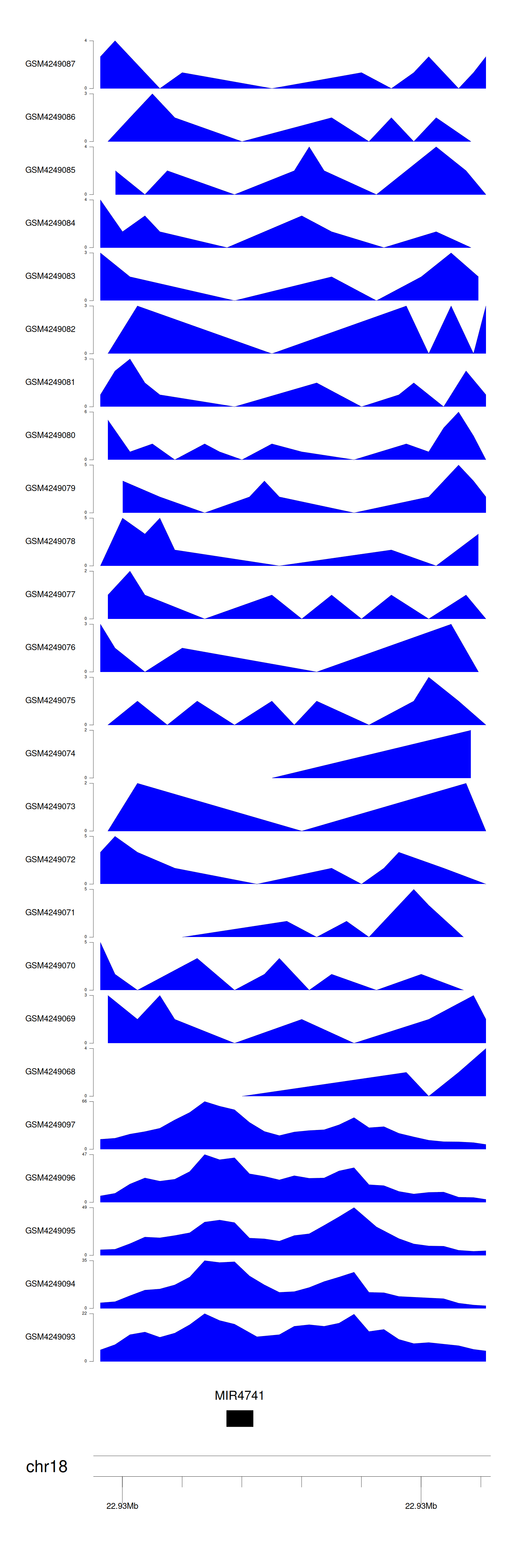
When the gene can detect a peak in the dataset, a peak plot will be displayed.


> Dataset: GSE143026 - MIR4741 peak across samples

Peak Plot