HIV Target gene Detail Information

> CTCF-DT Gene Search Result


Gene Information
Gene Name CTCF-DT
Gene ID 107984813
Gene Full Name CTCF divergent transcript
Gene Alias -
Virus HIV
Gene Type ncRNA
HGNC ID HGNC:55409
Target gene [CTCF-DT] related to VISs

Integration Table: if previous studies reported that target gene was altered by virus integration events, the overlap between VISs in this literature and Cistrome factors was listed in this section


DVID Chromosome HM TFBS CA Sum of Overlapped Records Detail
4001604 chr16 139 8 0 147 View

Target gene [CTCF-DT] related to Omics data
Data ID Experiment type Sample number Platform
C
  GSE220859
Chip-seq 11 Illumina NovaSeq 6000 (Homo sapiens)
GSE128121 RNA-seq 16 Illumina HiSeq 4000 (Homo sapiens)
C
  GSE211651
Chip-seq;RNA-seq;PRO-seq 39 Illumina NextSeq 500 (Homo sapiens);Illumina NovaSeq 6000 (Homo sapiens)
GSE162914 RNA-seq 211 Illumina HiSeq 2500 (Homo sapiens)
GSE144332 RNA-seq 75 NextSeq 550 (Homo sapiens)
C
  GSE165705
Chip-seq 30 Illumina NovaSeq 6000 (Homo sapiens)
C
  GSE165703
ATAC-seq 82 Illumina HiSeq 4000 (Homo sapiens)
C
  GSE144329
ATAC-seq 96 NextSeq 550 (Homo sapiens)
GSE205204 RNA-seq 14 Illumina NovaSeq 6000 (Homo sapiens)
GSE167211 RNA-seq 1 Illumina HiSeq 2000 (Homo sapiens)
GSE246082 RNA-seq 6 Illumina HiSeq 4000 (Homo sapiens)
C
  GSE100266
ATAC-seq;Chip-seq;RNA-seq 32 Illumina HiSeq 2500 (Homo sapiens)
GSE125686 RNA-seq 62 Illumina HiSeq 2000 (Homo sapiens);Illumina HiSeq 2500 (Homo sapiens);Illumina NextSeq 500 (Homo sapiens)
GSE164264 RNA-seq 6 BGISEQ-500 (Homo sapiens)


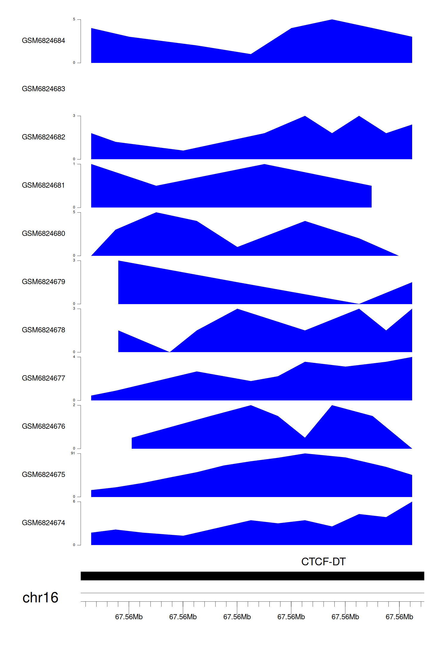
When the gene can detect a peak in the dataset, a peak plot will be displayed.


> Dataset: GSE220859 - CTCF-DT peak across samples

Peak Plot


> Dataset: GSE211651 - CTCF-DT peak across samples

Peak Plot


> Dataset: GSE165705 - CTCF-DT peak across samples

Peak Plot


> Dataset: GSE165703 - CTCF-DT peak across samples

Peak Plot


> Dataset: GSE144329 - CTCF-DT peak across samples

Peak Plot


> Dataset: GSE100266 - CTCF-DT peak across samples

Peak Plot