HIV Target gene Detail Information

> ANKRD36B Gene Search Result


Gene Information
Gene Name ANKRD36B
Gene ID 57730
Gene Full Name ankyrin repeat domain 36B
Gene Alias KIAA1641
Transcripts ENSG00000196912
Virus HIV
Gene Type protein-coding
HPA Location Info Nucleoplasm, Cytosol;
Membrane Info Predicted intracellular proteins
Uniport_ID Q8N2N9
HGNC ID HGNC:29333
Summary Enables identical protein binding activity. [provided by Alliance of Genome Resources, Apr 2025]
Target gene [ANKRD36B] related to VISs

Integration Table: if previous studies reported that target gene was altered by virus integration events, the overlap between VISs in this literature and Cistrome factors was listed in this section


DVID Chromosome HM TFBS CA Sum of Overlapped Records Detail
4010863 chr2 0 8 0 8 View

Target gene [ANKRD36B] related to Omics data
Data ID Experiment type Sample number Platform
GSE99737 RNA-seq 9 Illumina HiSeq 2500 (Homo sapiens)
GSE144332 RNA-seq 75 NextSeq 550 (Homo sapiens)
C
  GSE165705
Chip-seq 30 Illumina NovaSeq 6000 (Homo sapiens)
GSE164264 RNA-seq 6 BGISEQ-500 (Homo sapiens)
GSE262621 RNA-seq 70 Illumina NovaSeq 6000 (Homo sapiens)
GSE128121 RNA-seq 16 Illumina HiSeq 4000 (Homo sapiens)
GSE162914 RNA-seq 211 Illumina HiSeq 2500 (Homo sapiens)
GSE187515 scRNA-seq 104 Illumina MiSeq (Homo sapiens);Illumina HiSeq 4000 (Homo sapiens);Illumina NovaSeq 6000 (Homo sapiens)
GSE279982 Methylation profiling (Array) 576 Infinium MethylationEPIC
GSE205204 RNA-seq 14 Illumina NovaSeq 6000 (Homo sapiens)
GSE125686 RNA-seq 62 Illumina HiSeq 2000 (Homo sapiens);Illumina HiSeq 2500 (Homo sapiens);Illumina NextSeq 500 (Homo sapiens)
GSE198339 scRNA-seq 8 Illumina NovaSeq 6000 (Homo sapiens)
GSE233747 scRNA-seq 40 Illumina NovaSeq 6000 (Homo sapiens)
GSE165708 RNA-seq 100 Illumina HiSeq 4000 (Homo sapiens)
GSE211651 Chip-seq;RNA-seq;PRO-seq 39 Illumina NextSeq 500 (Homo sapiens);Illumina NovaSeq 6000 (Homo sapiens)
GSE68028 MeDIP-chip 1 NimbleGen Human DNA Methylation 2.1M Deluxe Promoter Array [100929_HG19_Deluxe_Prom_Meth_HX1]
GSE167211 RNA-seq 1 Illumina HiSeq 2000 (Homo sapiens)
GSE165132 RNA-seq 56 NextSeq 550 (Homo sapiens)
GSE100266 ATAC-seq;Chip-seq;RNA-seq 32 Illumina HiSeq 2500 (Homo sapiens)
GSE246082 RNA-seq 6 Illumina HiSeq 4000 (Homo sapiens)


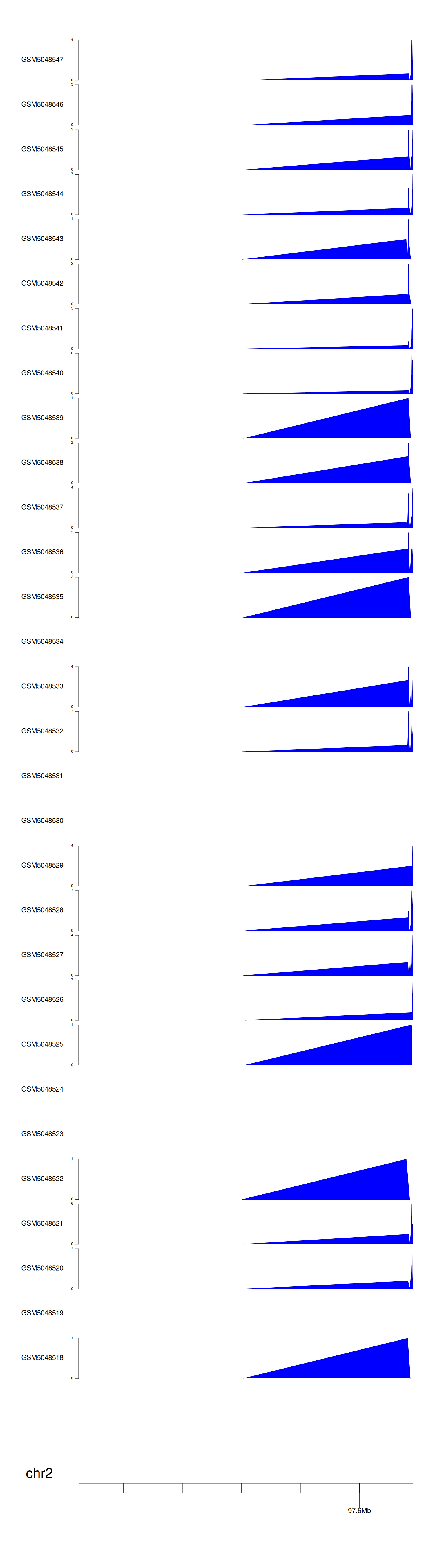
When the gene can detect a peak in the dataset, a peak plot will be displayed.


> Dataset: GSE165705 - ANKRD36B peak across samples

Peak Plot