HIV Target gene Detail Information

> PAQR4 Gene Search Result


Gene Information
Gene Name PAQR4
Gene ID 124222
Gene Full Name progestin and adipoQ receptor family member 4
Gene Alias -
Transcripts ENSG00000162073
Virus HIV
Gene Type protein-coding
HPA Location Info Vesicles;
Membrane Info Predicted membrane proteins
Uniport_ID Q8N4S7
HGNC ID HGNC:26386
OMIM ID 614578
Summary Enables molecular adaptor activity. Involved in protein stabilization and regulation of ceramide biosynthetic process. Located in Golgi membrane. [provided by Alliance of Genome Resources, Apr 2025]
Target gene [PAQR4] related to VISs

Integration Table: if previous studies reported that target gene was altered by virus integration events, the overlap between VISs in this literature and Cistrome factors was listed in this section


DVID Chromosome HM TFBS CA Sum of Overlapped Records Detail
4004401 chr16 29 16 0 45 View

Target gene [PAQR4] related to Omics data
Data ID Experiment type Sample number Platform
C
  GSE221688
Chip-seq;scATAC-Seq;scRNA-Seq 12 Illumina NovaSeq 6000 (Homo sapiens)
GSE99737 RNA-seq 9 Illumina HiSeq 2500 (Homo sapiens)
GSE144332 RNA-seq 75 NextSeq 550 (Homo sapiens)
C
  GSE165705
Chip-seq 30 Illumina NovaSeq 6000 (Homo sapiens)
GSE164264 RNA-seq 6 BGISEQ-500 (Homo sapiens)
GSE262621 RNA-seq 70 Illumina NovaSeq 6000 (Homo sapiens)
GSE202410 scRNA-seq 24 Illumina HiSeq 4000 (Homo sapiens)
GSE128121 RNA-seq 16 Illumina HiSeq 4000 (Homo sapiens)
GSE162914 RNA-seq 211 Illumina HiSeq 2500 (Homo sapiens)
GSE187515 scRNA-seq 104 Illumina MiSeq (Homo sapiens);Illumina HiSeq 4000 (Homo sapiens);Illumina NovaSeq 6000 (Homo sapiens)
GSE279982 Methylation profiling (Array) 576 Infinium MethylationEPIC
C
  GSE144329
ATAC-seq 96 NextSeq 550 (Homo sapiens)
GSE205204 RNA-seq 14 Illumina NovaSeq 6000 (Homo sapiens)
GSE125686 RNA-seq 62 Illumina HiSeq 2000 (Homo sapiens);Illumina HiSeq 2500 (Homo sapiens);Illumina NextSeq 500 (Homo sapiens)
GSE233747 scRNA-seq 40 Illumina NovaSeq 6000 (Homo sapiens)
C
  GSE220859
Chip-seq 11 Illumina NovaSeq 6000 (Homo sapiens)
GSE165708 RNA-seq 100 Illumina HiSeq 4000 (Homo sapiens)
C
  GSE211651
Chip-seq;RNA-seq;PRO-seq 39 Illumina NextSeq 500 (Homo sapiens);Illumina NovaSeq 6000 (Homo sapiens)
C
  GSE100376
ATAC-seq 24 Illumina NextSeq 500 (Homo sapiens)
GSE167211 RNA-seq 1 Illumina HiSeq 2000 (Homo sapiens)
GSE165132 RNA-seq 56 NextSeq 550 (Homo sapiens)
C
  GSE100266
ATAC-seq;Chip-seq;RNA-seq 32 Illumina HiSeq 2500 (Homo sapiens)
C
  GSE165703
ATAC-seq 82 Illumina HiSeq 4000 (Homo sapiens)
GSE246082 RNA-seq 6 Illumina HiSeq 4000 (Homo sapiens)


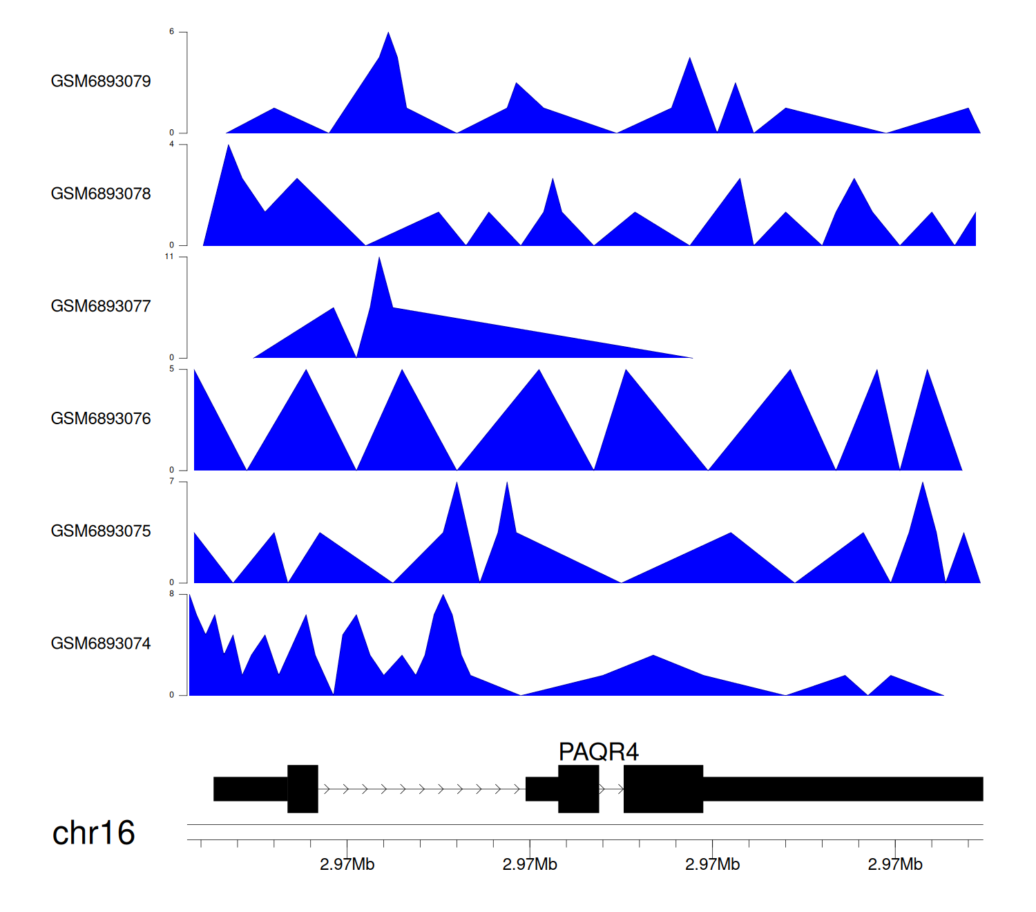
When the gene can detect a peak in the dataset, a peak plot will be displayed.


> Dataset: GSE221688 - PAQR4 peak across samples

Peak Plot


> Dataset: GSE165705 - PAQR4 peak across samples

Peak Plot


> Dataset: GSE144329 - PAQR4 peak across samples

Peak Plot


> Dataset: GSE220859 - PAQR4 peak across samples

Peak Plot


> Dataset: GSE211651 - PAQR4 peak across samples

Peak Plot


> Dataset: GSE100376 - PAQR4 peak across samples

Peak Plot


> Dataset: GSE100266 - PAQR4 peak across samples

Peak Plot


> Dataset: GSE165703 - PAQR4 peak across samples

Peak Plot