HIV Target gene Detail Information

> CHEK1 Gene Search Result


Gene Information
Gene Name CHEK1
Gene ID 1111
Gene Full Name checkpoint kinase 1
Gene Alias CHK1|OZEMA21
Transcripts ENSG00000149554
Virus HIV
Gene Type protein-coding
HPA Location Info Nucleoplasm;Vesicles;
Membrane Info Cancer-related genes, Enzymes, Plasma proteins, Predicted intracellular proteins
Uniport_ID O14757
HGNC ID HGNC:1925
OMIM ID 603078
Summary The protein encoded by this gene belongs to the Ser/Thr protein kinase family. It is required for checkpoint mediated cell cycle arrest in response to DNA damage or the presence of unreplicated DNA. This protein acts to integrate signals from ATM and ATR, two cell cycle proteins involved in DNA damage responses, that also associate with chromatin in meiotic prophase I. Phosphorylation of CDC25A protein phosphatase by this protein is required for cells to delay cell cycle progression in response to double-strand DNA breaks. Several alternatively spliced transcript variants have been found for this gene. [provided by RefSeq, Oct 2011]
Target gene [CHEK1] related to VISs

Integration Table: if previous studies reported that target gene was altered by virus integration events, the overlap between VISs in this literature and Cistrome factors was listed in this section


DVID Chromosome HM TFBS CA Sum of Overlapped Records Detail
4011437 chr11 0 7 0 7 View
4012870 chr11 4 0 0 4 View

Target gene [CHEK1] related to Omics data
Data ID Experiment type Sample number Platform
C
  GSE221688
Chip-seq;scATAC-Seq;scRNA-Seq 12 Illumina NovaSeq 6000 (Homo sapiens)
GSE99737 RNA-seq 9 Illumina HiSeq 2500 (Homo sapiens)
GSE144332 RNA-seq 75 NextSeq 550 (Homo sapiens)
GSE157829 scRNA-seq 7 Illumina HiSeq 2500 (Homo sapiens)
C
  GSE165705
Chip-seq 30 Illumina NovaSeq 6000 (Homo sapiens)
GSE164264 RNA-seq 6 BGISEQ-500 (Homo sapiens)
C
  GSE30738
Chip-seq 2 Illumina Genome Analyzer II (Homo sapiens)
GSE262621 RNA-seq 70 Illumina NovaSeq 6000 (Homo sapiens)
GSE202410 scRNA-seq 24 Illumina HiSeq 4000 (Homo sapiens)
GSE128121 RNA-seq 16 Illumina HiSeq 4000 (Homo sapiens)
GSE162914 RNA-seq 211 Illumina HiSeq 2500 (Homo sapiens)
GSE187515 scRNA-seq 104 Illumina MiSeq (Homo sapiens);Illumina HiSeq 4000 (Homo sapiens);Illumina NovaSeq 6000 (Homo sapiens)
GSE279982 Methylation profiling (Array) 576 Infinium MethylationEPIC
C
  GSE144329
ATAC-seq 96 NextSeq 550 (Homo sapiens)
GSE205204 RNA-seq 14 Illumina NovaSeq 6000 (Homo sapiens)
GSE125686 RNA-seq 62 Illumina HiSeq 2000 (Homo sapiens);Illumina HiSeq 2500 (Homo sapiens);Illumina NextSeq 500 (Homo sapiens)
GSE233747 scRNA-seq 40 Illumina NovaSeq 6000 (Homo sapiens)
C
  GSE220859
Chip-seq 11 Illumina NovaSeq 6000 (Homo sapiens)
GSE165708 RNA-seq 100 Illumina HiSeq 4000 (Homo sapiens)
C
  GSE211651
Chip-seq;RNA-seq;PRO-seq 39 Illumina NextSeq 500 (Homo sapiens);Illumina NovaSeq 6000 (Homo sapiens)
C
  GSE100376
ATAC-seq 24 Illumina NextSeq 500 (Homo sapiens)
GSE167211 RNA-seq 1 Illumina HiSeq 2000 (Homo sapiens)
GSE165132 RNA-seq 56 NextSeq 550 (Homo sapiens)
GSE228078 scRNA-seq 12 Illumina NovaSeq 6000 (Homo sapiens)
C
  GSE100266
ATAC-seq;Chip-seq;RNA-seq 32 Illumina HiSeq 2500 (Homo sapiens)
C
  GSE165703
ATAC-seq 82 Illumina HiSeq 4000 (Homo sapiens)
GSE148796 scRNA-seq 4 Illumina NextSeq 500 (Homo sapiens)
GSE246082 RNA-seq 6 Illumina HiSeq 4000 (Homo sapiens)


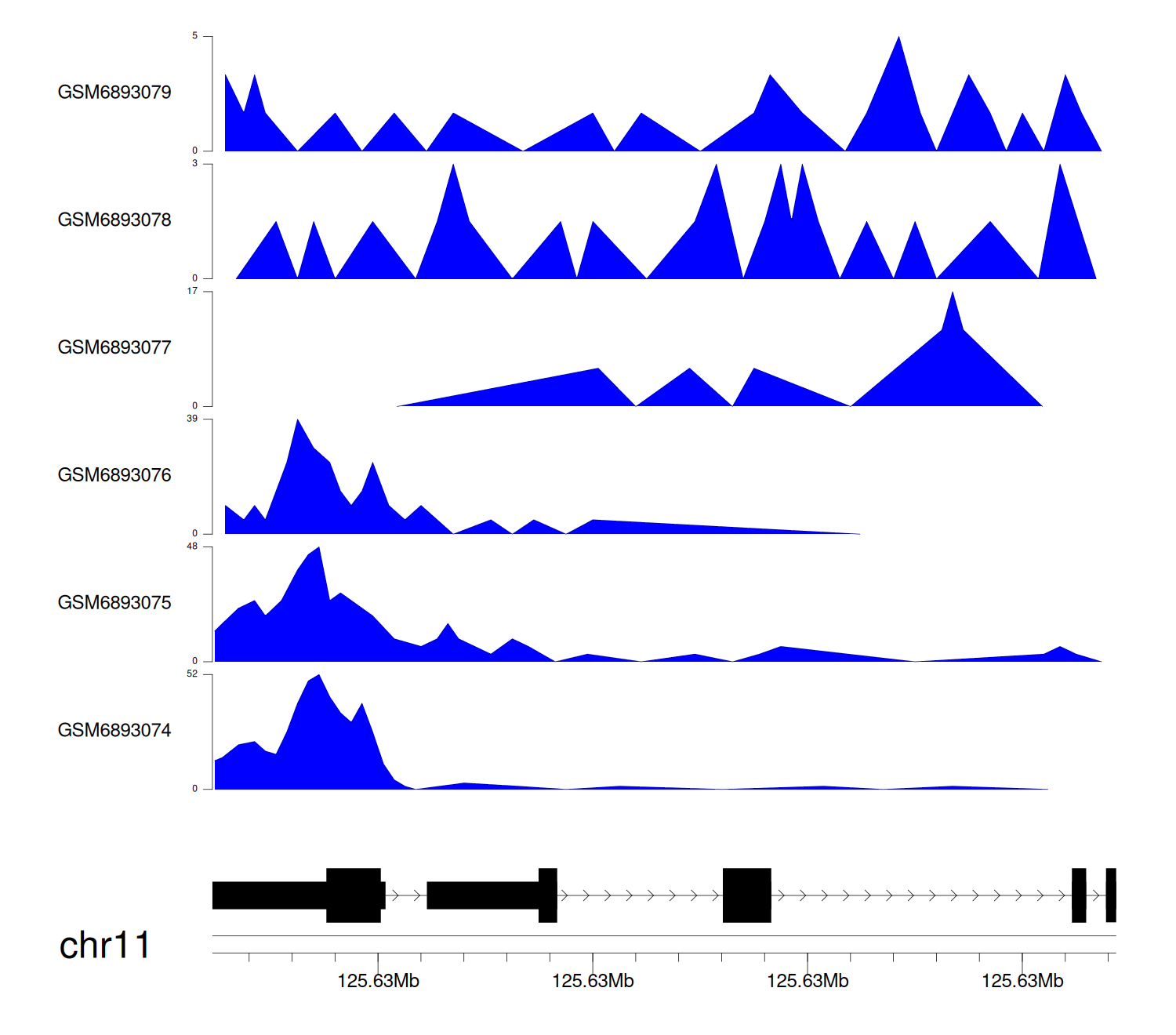
When the gene can detect a peak in the dataset, a peak plot will be displayed.


> Dataset: GSE221688 - CHEK1 peak across samples

Peak Plot


> Dataset: GSE165705 - CHEK1 peak across samples

Peak Plot


> Dataset: GSE30738 - CHEK1 peak across samples

Peak Plot


> Dataset: GSE144329 - CHEK1 peak across samples

Peak Plot


> Dataset: GSE220859 - CHEK1 peak across samples

Peak Plot


> Dataset: GSE211651 - CHEK1 peak across samples

Peak Plot


> Dataset: GSE100376 - CHEK1 peak across samples

Peak Plot


> Dataset: GSE100266 - CHEK1 peak across samples

Peak Plot


> Dataset: GSE165703 - CHEK1 peak across samples

Peak Plot